
Oba modely jsou vybaveny intuitivním softwarem Shimadzu LabSolutions UV-Vis, který zajišťuje integritu dat a snadnou obsluhu. Navíc umožňují naplánovat automatické vypnutí či přechod do režimu spánku, čímž šetří energii a prodlužují životnost lampy. Lze je také naprogramovat na automatické spuštění v předem stanovený čas, což zvyšuje efektivitu práce. Tyto univerzální a výkonné spektrofotometry pozvednou vaši analytickou praxi na vyšší úroveň.
Funkčnost modelů UV-2600i Plus / UV-2700i Plus lze snadno rozšířit podle konkrétního měřicího cíle. Díky široké nabídce příslušenství lze systém přizpůsobit různým typům aplikací a experimentálním situacím. Intuitivní ovládání navíc umožňuje rychle a snadno získat potřebná data i méně zkušeným uživatelům.
Shimadzu UV-2600i Plus, UV-2700i Plus UV-VIS-NIR spektrofotometr
Klíčovou vlastností modelu UV-2600i Plus je jeho měřicí rozsah vlnových délek. Použitím volitelného příslušenství ISR-2600Plus Integrating Sphere lze tento rozsah rozšířit z 220–1100 nm až na 1400 nm, což výrazně zvyšuje variabilitu použití.
Integrační koule pro měření až do 1400 nm
UV-2600i Plus je vybaven difrakční mřížkou LO-RAY-LIGH™ vyvinutou společností Shimadzu, která zajišťuje vysokou účinnost a nízkou úroveň rozptýleného světla. Instalací integrační koule ISR-2600Plus se dvěma detektory se standardní rozsah 300–1100 nm rozšíří až na 1400 nm. Navíc tento model dosahuje výrazného snížení šumu, což umožňuje provádět měření např. u antireflexních vrstev solárních článků nebo u polykrystalických křemíkových destiček.
Shimadzu UV-2600i Plus, UV-2700i Plus UV-VIS-NIR spektrofotometr
Shimadzu UV-2600i Plus, UV-2700i Plus UV-VIS-NIR spektrofotometr
Shimadzu UV-2600i Plus, UV-2700i Plus UV-VIS-NIR spektrofotometr
UV-2700i Plus je vybaven dvojitým monochromátorem, který dosahuje extrémně nízké úrovně rozptýleného světla, a je proto ideální pro měření vzorků s nízkou propustností, například polarizačních fólií používaných v LCD panelech. Přístroj umožňuje měření až do 8 Abs a dokáže provést přesná měření propustnosti s rozlišením 1 díl z 100 milionů, což pokrývá široké spektrum aplikací.
Extrémně nízká úroveň rozptýleného světla – měření až do 8 Abs
Běžné přístroje s dvojitým monochromátorem dosahují rozsahu přibližně 5–6 Abs. UV-2700i Plus však umožňuje měření až do 8 Abs s hodnotou propustnosti 0,000001 % (1 díl z 100 milionů). Díky tomu poskytuje vysoce přesná měření absorbance s jedinečnou přesností. Přístroj zvládá měření i vysoce koncentrovaných vzorků bez nutnosti ředění a je vhodný také pro hodnocení propustnosti polarizačních fólií. Vlnové délky v rozsahu 400–650 nm lze měřit až do 8 Abs.
Shimadzu UV-2600i Plus, UV-2700i Plus UV-VIS-NIR spektrofotometr
Shimadzu UV-2600i Plus, UV-2700i Plus UV-VIS-NIR spektrofotometr
Měření polarizačních fólií
S využitím otočného držáku lze na stejnou optickou osu umístit dva vzorky fólie. V tomto příkladu se polarizační fólie otáčí v rovině a měří se propustnost při průchodu i blokaci světla.
Shimadzu UV-2600i Plus, UV-2700i Plus UV-VIS-NIR spektrofotometr
Shimadzu UV-2600i Plus, UV-2700i Plus UV-VIS-NIR spektrofotometr
Validace pomocí PC softwaru
Validaci lze provádět pomocí softwaru pro UV validaci. Ten zjednodušuje každodenní kontroly, usnadňuje ověřování výkonu přístroje a správu záznamů, čímž podporuje bezpečné dodržování regulačních požadavků.
Shimadzu UV-2600i Plus, UV-2700i Plus UV-VIS-NIR spektrofotometr
Shimadzu UV-2600i Plus, UV-2700i Plus UV-VIS-NIR spektrofotometr
Poznámka: Pro podporu požadavků US Pharmacopeia a European Pharmacopeia je nutný volitelný validační software.
Podpora regulačních požadavků
Přístroj je plně kompatibilní s předpisy FDA 21 CFR část 11, směrnicemi PIC/S GMP a dalšími požadavky ER/ES. Zajišťuje integritu dat prostřednictvím databázového řízení, správy uživatelů, uživatelských oprávnění a auditních záznamů.
Software pro validaci
UV validační software pomáhá provádět měření a výpočty potřebné k validaci. Je standardní součástí modelů UV-2600i/2700i a kromě rutinních kontrol umožňuje také validaci přístroje v souladu s japonským, americkým i evropským lékopisem.
Funkce asistence
Přístroj uživateli pomáhá zajistit, aby měření byla prováděna správným postupem (funkci lze zapnout nebo vypnout).
Shimadzu UV-2600i Plus, UV-2700i Plus UV-VIS-NIR spektrofotometr
Funkce vypnutí a probuzení
Přístroj lze vypnout nebo přepnout do režimu spánku, což snižuje spotřebu energie a šetří životnost lampy. Po delších měřeních se přístroj i software mohou automaticky vypnout a následně lze nastavit automatické probuzení v určený čas. Díky této funkci může analýza začít okamžitě po příchodu uživatele do laboratoře.
Shimadzu UV-2600i Plus, UV-2700i Plus UV-VIS-NIR spektrofotometr
Měření pásové mezery sloučeninových polovodičů
Shimadzu UV-2600i Plus, UV-2700i Plus UV-VIS-NIR spektrofotometr: Spektra difúzního odrazu dvou typů sloučeninových polovodičů (červená křivka: CuIn₀,₅Ga₀,₅Se₂, modrá křivka: CuInSe₂), používaných jako materiály pro solární články, byla změřena pomocí integrační sféry ISR-2600Plus. Je patrné, že absorpční hrana (místo poklesu odrazivosti) se liší v závislosti na vzorku, což odráží rozdíly v pásové mezeře*. Hodnoty pásové mezery byly vypočítány Taucovou metodou: 1,27 eV pro CuIn₀,₅Ga₀,₅Se₂ a 0,99 eV pro CuInSe₂. * Pásová mezera je energetický rozdíl mezi horní hranicí valenčního pásu, obsazeného elektrony, a spodní hranicí vodivostního pásu, který elektrony neobsahuje.
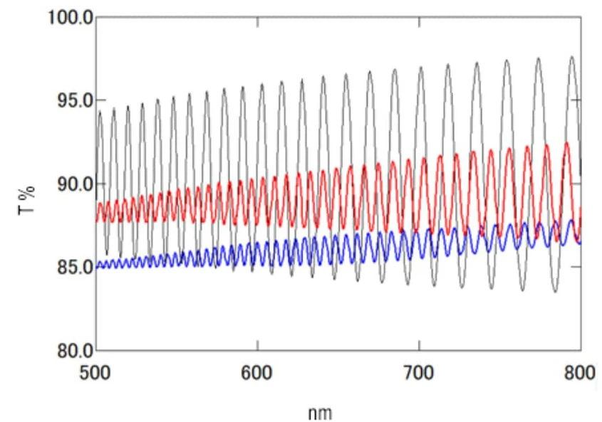
Měření tloušťky potravinářských fólií
Shimadzu UV-2600i Plus, UV-2700i Plus UV-VIS-NIR spektrofotometr: Při průchodu světla fólií se někdy objevují interferenční obrazce. Z těchto vlnových průběhů lze určit tloušťku fólie. Na obrázku jsou znázorněna data propustnosti pro potravinářskou fólii, kde se jasně projevuje interferenční průběh. Pomocí volitelného softwaru pro měření tloušťky byla tloušťka vypočítána na 10,4 μm. Poznámka: Pro výpočet tloušťky je nutné zadat index lomu vzorku.
Hodnocení tepelné stability (Tm) oligonukleotidových léčiv
Shimadzu UV-2600i Plus, UV-2700i Plus UV-VIS-NIR spektrofotometr: Vzorky oligonukleotidových léčiv (9–60 μM) byly analyzovány pomocí TMSPC™-8i a kyvet s optickou dráhou 1 mm. Díky širokému dynamickému rozsahu přístrojů UV-2600i Plus/2700i Plus je možné provádět analýzu tepelné stability nukleových léčiv stanovením hodnoty Tm z tavné křivky.
Měření propustnosti okenního skla
Shimadzu UV-2600i Plus, UV-2700i Plus UV-VIS-NIR spektrofotometr: Pomocí integrační sféry ISR-2600Plus byly změřeny dva typy okenního skla. Vzorek znázorněný červenou křivkou je vysoce propustný pro blízké IR záření nad 800 nm, zatímco vzorek znázorněný modrou křivkou má v této oblasti nízkou propustnost.
Měření ochranného faktoru proti UV záření u textilií
Shimadzu UV-2600i Plus, UV-2700i Plus UV-VIS-NIR spektrofotometr: UV ochrana poskytovaná oděvy a deštníkem byla hodnocena pomocí integrační sféry ISR-2600Plus. Spektrum propustnosti deštníku (zelená křivka) ukazuje, že jím prochází jen zanedbatelné množství UV záření. U oděvů černé oblasti blokují více UV záření než bílé.
Celkové spektrum propustnosti CNF
Shimadzu UV-2600i Plus, UV-2700i Plus UV-VIS-NIR spektrofotometr: Celkové spektrum propustnosti celulózových nanovláken (CNF) bylo změřeno pomocí integrační sféry ISR-2600Plus. V závislosti na použitých surovinách se liší jak průhlednost, tak charakter spekter v UV oblasti.
Měření DNA a proteinů
Shimadzu UV-2600i Plus, UV-2700i Plus UV-VIS-NIR spektrofotometr: Červená a modrá křivka představují absorpční spektra pro dsDNA a BSA (hovězí sérový albumin). Koncentrace vzorků byly 45 ng/μL pro dsDNA a 2,2 mg/mL pro BSA.
Měření vitaminů
Shimadzu UV-2600i Plus, UV-2700i Plus UV-VIS-NIR spektrofotometr: Na obrázku jsou absorpční spektra riboflavinu (vitaminu B₂). Koncentrace vzorků jsou 0,08, 0,04, 0,02 a 0,01 mg/mL (seřazeno dle klesající absorbance).
