Sledování akrylamidu v průběhu sladování a v pivu

Pixabay/abruellmann: Sledování akrylamidu v průběhu sladování a v pivu.
Akrylamid v potravinách vzniká v průběhu Maillardovy reakce a jeho prekurzory jsou redukující cukry a aminokyselina asparagin. Reakční mechanismus vzniku akrylamidu v potravinách závisí na složení potravin a na podmínkách zpracování. Akrylamid vzniká ve významném množství tepelnou úpravou potravin nad 120 °C, maximum akrylamidu vzniká při 150-180 °C. Při vyšších teplotách je vznik akrylamidu podstatně nižší, protože eliminační reakce je rychlejší než reakce vzniku akrylamidu. Surovinou pro výrobu sladu je ječmen, rostlina s obsahem dusíkatých sloučenin a s vysokým obsahem škrobu. V průběhu sladování se ve sladu působením enzymů zvyšuje obsah redukujících cukrů, během hvozdění dochází vlivem teploty k biochemickým změnám a vznikají melanoidinové látky. Tyto podmínky jsou velmi výhodné pro tvorbu akrylamidu. Změny hladin akrylamidu byly sledovány ve sladu a následně ve vyrobeném pivu. Obsah akrylamidu se v závislosti na typu sladu pohyboval v rozmezí 0,2-3,0 mg/kg a bylo potvrzeno teplotní maximum jeho vzniku (160-170 °C). Přes jeho poměrně vysoký obsah ve sladu nebyl akrylamid detekován v žádném z analyzovaných vzorků piva.
1 ÚVOD
V dubnu 2002 zveřejnil Švédský národní úřad (NFA – National Food Administration) spolu se stockholmskou univerzitou nález akrylamidu, neurotoxické a potenciálně karcinogenní látky, v potravinách zpracovávaných při teplotách nad 120 °C (1–3). Zejména vysoký obsah akrylamidu byl nalezen v potravinách s vysokým obsahem škrobu, jako jsou potraviny z brambor a obilí (4).
Akrylamid (obr. 1) je bílá krystalická látka, bez barvy a zápachu (1), teplota tání je 84,5 °C, bod varu 125 °C. Je dobře rozpustný ve vodě (2155 g.l⁻¹ při 30 °C), methanolu (1550 g.l⁻¹ při 30 °C), ethylacetátu (126g.l⁻¹ při 30 °C), nerozpustný je v heptanu a benzenu. Pevný akrylamid je stabilní při laboratorní teplotě, ale může polymerizovat při zahřívání nebo při oxidativním působení.
Obr. 1 Strukturní vzorec akrylamidu (C3H5NO, CAS 79-06-1)
Akrylamid v potravinách vzniká v průběhu Maillardovy reakce a jeho prekurzory jsou redukující cukry a aminokyselina asparagin. Reakční mechanismus vzniku akrylamidu v potravinách závisí na složení potravin a na podmínkách zpracování (5).
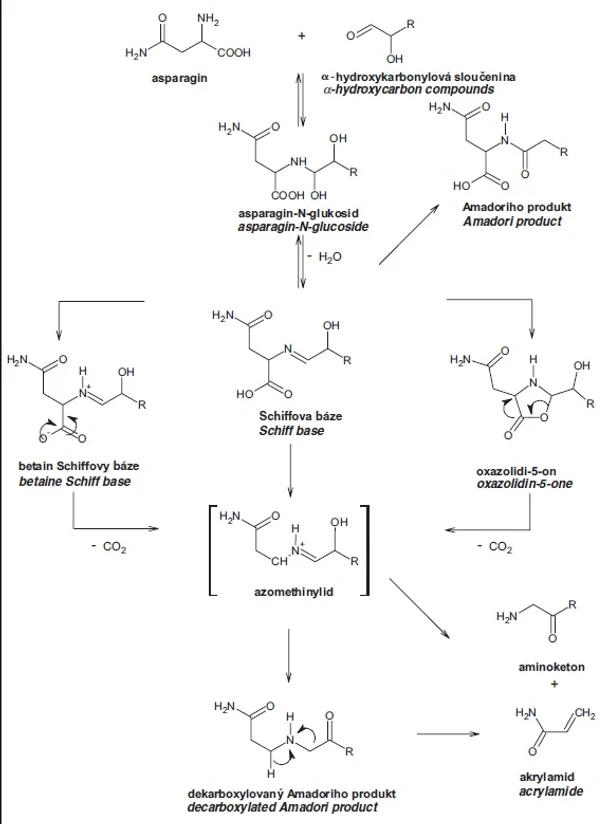
Za hlavní mechanismus vzniku akrylamidu jsou považovány reakce mezi volnou geneticky kódovanou neesenciální aminokyselinou asparaginem a redukujícími cukry při teplotách nad 120 °C, kdy vzniká celá řada velmi reaktivních karbonylových sloučenin (5, 6) (obr. 2).
Obr. 2 Mechanismus tvorby akrylamidu z asparaginu v přítomnosti α-hydroxykarbonylových sloučenin (1)
Rozeznávají se tři fáze reakcí (7, 8):
- Počáteční fáze zahrnuje tvorbu glykosylaminu, následovanou Amadoriho přesmykem.
- Ve střední fázi dochází k dehydrataci a fragmentaci sacharidů doprovázející Streckerovu degradaci aminokyselin.
- V závěrečné fázi prochází Streckerův aldehyd dalšími redukčními a dehydratačními reakcemi za vzniku akrylamidu.
Vedle těchto možností bylo na modelových systémech prokázáno, že za určitých podmínek se na tvorbě akryalmidu podílí i akrolein a kyselina akrylová po reakci s asparaginem v potravinách bohatých na lipidy (8).
Při zkoumání modelového systému směsi glukosy a asparaginu byl zjištěn vliv teploty a také doby zahřívání. Tvorba akrylamidu byla nízká v teplotním rozsahu 120–140 °C, pokud se zvýšila na 160–180 °C, obsah akrylamidu se v matrici dramaticky zvýšil. Po dosažení teploty 180 °C dochází k následnému poklesu tvorby akrylamidu. Pokles tvorby akrylamidu při vyšších teplotách lze vysvětlit tím, že akrylamid jako meziprodukt Maillardovy reakce dále reaguje za vzniku jiných sloučenin (9).
Surovinou pro výrobu sladu je ječmen, rostlina s obsahem dusíkatých sloučenin a s vysokým obsahem škrobu.V průběhu sladování se v ječmeni působením enzymů zvyšuje obsah redukujících cukrů, během hvozdění dochází vlivem teploty k biochemickým změnám a vznikají melanoidinové látky. Tyto podmínky jsou velmi výhodné pro tvorbu akrylamidu (10).
Nejvíce používanými metodami pro stanovení akrylamidu jsou (11):
- vysokoúčinná kapalinová chromatografie s hmotnostní spektrometrií
- plynová chromatografie s hmotnostní spektrometrií.
Před analýzou akrylamidu metodou GC/MS byly vzorky sladu derivatizovány bromací (12, 13). Výhodou bromace akrylamidu je, že produktem je více těkavá a méně polární sloučenina s lepšími hmotnostními charakteristikami. Výsledný derivát je snáze extrahován z vodných roztoků a může být lépe detekován GC/MS metodou. Konverze akrylamidu na 2,3-dibrompropionamid byla provedena přidáním bezvodého bromidu draselného, kyseliny bromovodíkové a nasyceným roztokem bromové vody. Přidáním triethylaminu byl nestabilní 2,3-dibrompropionamid převeden na stabilnější derivát 2-brompropenamid (13).
2 MATERIÁL A METODY
2.1 Standardy a chemikálie
Standardy: akrylamid (1 mg.ml⁻¹) v methanolu (Absolute Standards, USA), (13C3) akrylamid (1 mg.ml⁻¹) v methanolu (Cambridge Isotope Laboratories, USA), 2,3-dibromopropionamid (1 mg.ml⁻¹) v methanolu (Absolute Standards, USA).
Chemikálie: bróm, bromid draselný, kyselina bromovodíková, thiosíran sodný a triethylamin (Merck, Německo).
Rozpouštědla: methanol, ethylacetát v čistotě pro HPLC (Chromservis, s. r. o., Česká republika).
2.2 Vzorky sladu
Vzorky sladu pro analýzu akrylamidu byly odebírány v průběhu sladování (hvozdění). První vzorek byl odebrán při 60 °C a poslední při 210 °C. Teplotní interval při odebírání sladovaných vzorků byl 10 °C. Dále byly analyzovány vzorky speciálních a barevných sladů (tab. 1).
Tab. 1 Přehled analyzovaných vzorků speciálních a barevných sladů
2.3 Vzorky piva
Vzorky piv pro analýzu akrylamidu byly zakoupeny v obchodní síti. Bylo analyzováno 17 vzorků světlého výčepního piva, 10 vzorků ležáků a 12 vzorků tmavého piva.
2.4 Příprava pevných vzorků
K pomletému vzorku sladu (5 g) bylo přidáno 10 μl vnitřního standardu (akrylamid – ¹³C₃) a 50 ml destilované vody o teplotě 60 °C. Po dvacetiminutové sonifikaci v ultrazvukové lázni byl homogenát kvantitativně převeden do centrifugačních zkumavek a odstřeďován při 8000 min-1 po dobu 30 minut. K 5 ml supernatantu byly přidány 2g bromidu draselného a kyselina bromovodíková (výsledné pH 0–1). Po vychlazení byly přidány 2 ml bromové vody. Obsah v baňce byl promíchán a baňka umístěna do nádoby s ledovou drtí na 10 hodin do lednice. Po ukončení bromace byl přebytečný brom titrován thiosíranem sodným (1 M roztok) do odbarvení. Obsah baněk byl převeden do teflonových centrifugačních zkumavek, do každé zkumavky bylo přidáno 5 ml ethylacetátu a suspenze byla protřepána. Poté byl obsah zkumavek odstředěn při 5000 min⁻¹ po dobu 5 minut. Po odstředění byl z organické fáze odpipetován 1 ml do plastové mikrozkumavky a přidán triethylamin (0,2 ml). Mikrozkumavky byly protřepány a po 15 minutách odstředěny při 5000 min⁻¹ po dobu 5 minut. Po odstředění byl obsah zkumavek převeden do skleněných vialek a analyzován na GC/MS.
2.5 Příprava vzorků piva
K 50 ml odpěněného piva (20 minut sonifikace na ultrazvukové lázni) bylo přidáno 10 μl vnitřního standardu (akrylamid – ¹³C₃). Z takto upraveného piva bylo odebráno 5 ml, ke kterým byly přidány 2 g bromidu draselného a kyselina bromovodíková (výsledné pH 0–1). Po vychlazení bylo dále postupováno jako u analýzy pevného vzorku.
2.6 Instrumentace a chromatografické stanovení
Pro stanovení obsahu bromoderivátu akrylamidu ve vzorcích sladu a piva byl použit plynový chromatograf Trace GC Ultra Finnigan, kombinovaný s hmotnostním detektorem Trace DSQ Thermo Finnigan. Separace byla provedena na kapilární koloně DB – WAX (délka kolony 30 m x 0,25 mm vnitřní průměr, tloušťka filmu 0,25 μm; J&W Scientific, USA), kolona udržována při 50 °C (1 min), poté teplotní program 15 °C.min⁻¹ do 150 °C (5 min). Teplota PTV (teplotně programovatelný injektor) 200 °C – Splitless mód (1 min). Teplota transfer line byla 200 °C. Hmotnostně selektivní detektor pracoval v SIM módu, s pozitivní elektron impakt (EI) ionizací. Použitý nosný plyn: hélium s průtokem 1,5 ml.min⁻¹. V těchto podmínkách byl retenční čas akrylamidu a (¹³C₃) akrylamid derivátů 16,34 min.
Identifikace 2-brompropenamidu byla provedena na základě retenčního času a pro 2-brompropenamid specifických iontů m/z 149 a 151, kvantifikace byla provedena pomocí kalibrační křivky. Pro spolehlivost výsledků a dosažení maximální selektivnosti byl použit jako vnitřní standard izotopicky značený akrylamid (1,2,3–13C3), m/z 152 a 154.
3 VÝSLEDKY A DISKUSE
Kalibrační křivka byla lineární v rozmezí 30–620 μg.kg⁻¹ (koncentrace akrylamidu v reálném vzorku) s korelačním koeficientem 0,9989, mez stanovení 25 μg.kg⁻¹. Výtěžnost vzorků obohacených izotopicky značeným (¹³C₃) akrylamidem se pohybovala v rozmezí 72–86 %.
Výsledky závislosti tvorby akrylamidu na teplotě hvozdění ukazuje obr. 3. V průběhu hvozdění dochází k tvorbě akrylamidu již od 60 °C. Vysvětlením vzniku akrylamidu při teplotách od 60 do 110 °C je dlouhodobé působení teplot nad 60 °C. Slad se předsouší až 10 hodin při teplotách od 55–65 °C, poté následuje vyhřátí na dotahovací teplotu, která je pro daný slad specifická (80–225 °C), trvající od 1,5 h do 2,5 h. Maximální tvorba akrylamidu byla zjištěna v teplotním intervalu 150–170 °C. Pak následuje pokles tvorby akrylamidu. Snížení tvorby akrylamidu při vyšších teplotách lze zdůvodnit tím, že akrylamid jako meziprodukt Maillardovy reakce dále reaguje za vzniku dalších sloučenin reakcí neenzymatického hnědnutí (7, 8).
Obr. 3 Závislost tvorby akrylamidu na teplotě hvozdění
Obsah akrylamidu u speciálních a barevných sladů znázorňuje obr. 4. Tvorbu akrylamidu v barevných a speciálních sladech, které se typicky připravují pražením sušeného sladu, je možné srovnávat s procesem pražení kávy (14). U světlých sladů se obsah akrylamidu pohyboval v rozmezí hodnot 630–660 μg.kg⁻¹. Obsah akrylamidu ve speciálním melanoidinovém sladu byl 2210 μg.kg⁻¹. Melanoidinový slad má stejný obsah akrylamidu jako slad odebraný v průběhu hvozdění při 130 °C.
Obr. 4 Obsah akrylamidu ve speciálních sladech
Tento vysoký obsah akrylamidu odpovídá podmínkám přípravy melanoidinového sladu, kdy je podporován vznik sloučenin Maillardovy reakce v průběhu hvozdění. Žitný slad má nižší hodnoty akrylamidu v karamelovém i praženém sladu, než ječné slady připravované při stejných teplotách. Nižší obsah akrylamidu je způsoben jiným obsahem asparaginu a redukujících cukrů v rozluštěném žitném sladu. Stejným způsobem lze vysvětlit nižší obsah akrylamidu v pšeničných sladech.
V praženém ječném sladu je nejvyšší obsah akrylamidu u sladu CARAFA® SPECIAL. Nejvyšší obsah akrylamidu ze všech analyzovaných sladů byl zjištěn u sladu typu CARAMÜNICH (3084,15 μg.kg⁻¹). Tato vysoká hodnota akrylamidu odpovídá způsobu výroby karamelového sladu (teplota hvozdění 150–170 °C) a je v souladu se zjištěnou teplotní závislostí tvorby akrylamidu v průběhu hvozdění.
Přes vysoký obsah akrylamidu ve sladech byl u všech analyzovaných vzorků piv jeho obsah pod mezí stanovitelnosti (< 25 μg.l⁻¹). Tato skutečnost zřejmě souvisí s procesem výroby piva, kdy na vystírku se použije 2–4 hl vody na 100 kg sypání.
4 ZÁVĚR
Analýzy sladu prokázaly závislost obsahu akrylamidu na teplotě hvozdění. Se zvyšující se teplotou hvozdění narůstal obsah akrylamidu ve sladu až do teploty 180 °C. Při ještě vyšších teplotách obsah akrylamidu klesá, což je způsobeno vstupem akrylamidu do dalších reakcí neenzymatického hnědnutí.Vyšší obsahy akrylamidu byly zjištěny ve speciálních a barevných sladech, což souvisí s vyšší teplotou hvozdění při jejich výrobě. Obsah akrylamidu v analyzovaných vzorcích piva byl pod mezí detekce použité GC/MS metody (< 25 μg.l⁻¹).




