Analýza rostlinných silic využitelných pro fortifikaci potravinářských výrobků

Pixabay/Claudia Beyli: Analýza rostlinných silic využitelných pro fortifi kaci potravinářských výrobků
Levandule lékařská a máta peprná jsou aromatické byliny s léčivými i kořeninovými vlastnostmi. Mezi nejvýznamnější látky obsažené v těchto rostlinách patří silice. Množství a vlastnosti jednotlivých látek obsažených v silicích jsou rozhodující pro jejich využití v potravinářském průmyslu, kde jsou používány mimo jiné k aromatizaci potravin. Silice byly ze sušených květů levandule a sušených listů máty získány destilací vodní parou. Relativní zastoupení obsahových látek v izolovaných silicích bylo stanoveno metodou plynové chromatografie kombinované s hmotnostním detektorem. Byly porovnávány silice z rostlin z polní pokusné stanice Žabčice a z rostlin zakoupených v obchodní síti. Vzorky silice z levandule vypěstované na polní pokusné stanici v Žabčicích obsahovaly v největším množství linalool (56,2-66,6 %) a linalyl acetát (21,5-34,8 %), vzorky silice z levandule zakoupené v obchodní síti obsahovaly v největším množství linalool (24,4-31,0 %), kafr (25,8-28,1 %), eukalyptol (20,3-22,3 %) a linalyl acetát (11,6-16,9 %). Zastoupení jednotlivých obsahových složek ve všech vzorcích mátové silice bylo srovnatelné. V největším obsahu byl zastoupen menthon (34,3-53,8 %) a menthol (26,9-42,8 %).
1 ÚVOD
Léčivé, aromatické a kořeninové rostliny představují druhově různorodou a rozsáhlou skupinu rostlin. Mezi nejvýznamnější látky obsažené v léčivých, aromatických a kořeninových rostlinách patří silice. Každodenně se s nimi setkáváme v potravinách, léčivech, kosmetice nebo i technických prostředcích (Christaki et al., 2012).
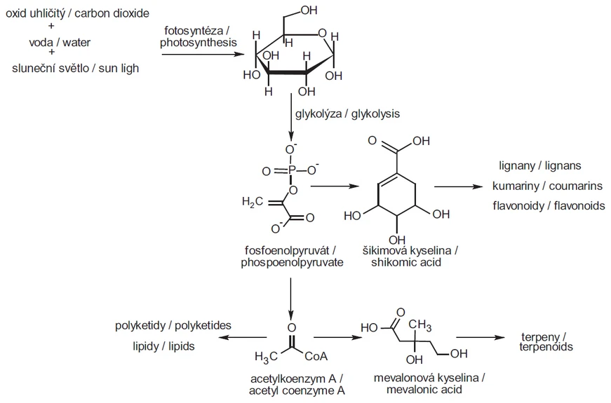
Silice jsou těkavé, většinou ve vodě nerozpustné, velmi složité směsi látek. Nejčastěji jsou tvořeny terpeny a terpenovými deriváty, ale i uhlovodíky, alkoholy, aldehydy, ketony, karboxylovými kyselinami a dalšími látkami. Jedná se o prchavé látky, které jsou často vonné, ale mohou být též bez vůně. Jsou produktem sekundárního metabolismu vyšších rostlin. Sekundární metabolity hrají důležitou roli v komunikaci mezi rostlinou a vnějším prostředím. Obecný model biosyntézy sekundárních metabolitů je znázorněn na obr. 1. Jedná se o látky senzoricky aktivní, těkavé, které rostliny vytvářejí několika procesy – biogenetickým (mevalonátovým), fenylpropanovým (šikimátovým) nebo metabolickými přeměnami lipidů a polyketidů. Při biosyntéze složitějších struktur může dojít ke kombinaci více metabolických drah (Baser a Buchbauer, 2010; Hay a Waterman, 1993).
Obr. 1 Obecný model biosyntézy sekundárních metabolitů (Baser a Buchbauer, 2010)
Biogenetickým (mevalonátovým) procesem vznikají terpeny, nejpočetněji zastoupené složky silic tvořící jejich základ. Hlavní stavební jednotkou terpenů je izopren, jehož kondenzací vznikají další terpenické látky vyskytující se v silicích (obr. 2). Jedná se hlavně o monoterpeny a seskviterpeny a jejich kyslíkaté deriváty (Velíšek, 2002). Vonné látky obsahující aromatické jádro vznikají procesem fenylpropanovým. Přes meziprodukty, kyselinu šikimovou a fenylalanin, nakonec vzniká skořicová kyselina. Z ní dále biosyntetickými procesy vznikají aromatické sloučeniny, kumariny a jejich deriváty, a látky fenolické (Baser a Buchbauer, 2010). Metabolickými přeměnami lipidů a polyketidů, mohou být složky silic syntetizovány třemi hlavní cestami: kondenzačními reakcemi polyketidů, odbouráváním lipidů a cyklizací arachidonové kyseliny (Baser a Buchbauer, 2010).
Obr. 2 Biosyntéza terpenů
V současnosti zájem o silice a jejich složky roste díky jejich přírodnímu původu, relativní nezávadnosti a možnosti využití jejich antimikrobiálních, antimykotických a antioxidačních vlastností (Jianu et al., 2013; Carrasco et al., 2016). Další důvody, které vedou k jejich využívání, jsou poměrně snadné získávání a biodegradace, při které nedochází ke znečišťování životního prostředí (Mlejová et al., 2010).
Silice mohou mít v potravinářském průmyslu využití nejen z hlediska jejich chutě a vůně, ale i jako přírodní antioxidanty a konzervanty (Djenanel et al., 2013). Silice mohou být obsaženy v celé rostlině, nebo je jejich výskyt omezen na určitou část rostliny – květ, list, lodyha nebo plod. K izolaci silic z rostlinného materiálu lze použít několik metod. Nejčastěji používanou metodou pro získání silic je destilace s vodní parou, dalšími metodami jsou extrakce organickým rozpouštědlem, lisování nebo enfleuráž.
Vlastnosti látek obsažených v silicích jsou rozhodující pro jejich využití v potravinářském průmyslu, kde jsou používány mimo jiné k aromatizaci potravin. Vzhledem k tomu, že se stávají součástí potravin, je nutné mít vhodnou analytickou metodu ke sledování obsahu jednotlivých složek rostlinných silic. Jednou z nejvýznamnějších metod analýzy obsahových látek silic je plynová chromatografie v kombinaci s hmotnostní spektrometrií (Carrasco et al., 2016; Sgorbini et al., 2015).
Bylo sledováno zastoupení obsahových látek v silicích z květu levandule lékařské (Lavandula angustifolia) a z listu máty peprné (Mentha piperita). Analyzované rostliny pocházely z polní pokusné stanice v Žabčicích a z nich získané silice byly porovnávány se silicemi získanými z bylin zakoupených v obchodní síti. Extrakce silic z rostlinného materiálu byla provedena destilací vodní parou. Silice byly analyzovány metodou plynové chromatografie kombinované s hmotnostním detektorem (GC/MS).
2 MATERIÁL A METODY
2.1 Použité chemikálie a přístroje
Standardy (Sigma – Aldrich, USA): limonen, eukalyptol, isopulegol, menhofuran, menthol, menthon, pulegon, karvon, menthyl acetát, linalool, kafr, borneol, alfa-terpineol, linalyl acetát, rozpouštědlo hexan (Sigma – Aldrich, USA).
Pro stanovení obsahu sledovaných analytů ve vzorcích silic byl použit plynový chromatograf Trace GC Ultra Finnigan, kombinovaný s hmotnostním detektorem Trace DSQ Thermo Finnigan. Separace byla provedena na kapilární koloně SLB-5MS (60m x 0,25 mm x 0,25 mm; Supelco, USA), nosným plynem bylo helium.
2.2 Vzorky
Na polní pokusné stanici v Žabčicích byly vysety a vysázeny vybrané rostlinné druhy, pro následné stanovení obsahových látek. V termínech nejvhodnějších z hlediska obsahových látek byla provedena sklizeň rostlinného materiálu. Sklizený materiál by usušen při teplotě do 40 °C.
Celkem bylo analyzováno 7 vzorků levandule lékařské, dva vzorky pocházely z polní pokusné stanice a pět vzorků bylo zakoupeno v obchodní síti. Dále bylo analyzováno 12 vzorků máty peprné, dva vzorky pocházely z polní pokusné stanice a deset vzorků bylo zakoupeno v obchodní síti.
Silice byly ze vzorků bylin izolovány destilací vodní parou. Získané silice byly analyzovány metodou plynové chromatografie s hmotnostním detektorem.
2.3 Příprava a analýza vzorků silic
Silice pro analýzu obsahových látek byly ze vzorků bylin získány destilací vodní parou po dobu čtyř hodin. Vydestilované silice byly před chromatografickou analýzou vhodně naředěny hexanem, následně byl odebrán asi 1 ml do 2ml vialky a ta byla uzavřena víčkem se septem. Takto připravený vzorek byl analyzován metodou GC/MS.
K analýze vzorků silic byl použit plynový chromatograf Trace GC Ultra Finnigan, kombinovaný s hmotnostním detektorem Trace DSQ Thermo Finnigan. Separace byla provedena na kapilární koloně SLB-5MS (60 m x 0,25 mm x 0,25 mm), nosným plynem bylo helium. Hmotnostně selektivní detektor pracoval v FULL scanu s positivní elektron impakt (EI) ionizací. Identifikace sledovaných analytů byla provedena na základě porovnání retenčního času a specifických hmotnostních spekter se standardy.
3 VÝSLEDKY A DISKUSE
V levandulové silici byly sledovány následující obsahové látky: limonen, eukalyptol, linalool, kafr, borneol, alfa-terpineol a linalyl acetát (tab. 1). Z výsledků je patrné, že vzorky silice z levandule zakoupené v obchodní síti obsahovaly v největším množství linalool (24,4–31,0 %), kafr (25,8–28,1 %), eukalyptol (20,3–22,3 %) a linalyl acetát (11,6–16,9 %). Obsah těchto látek ve vzorcích silice z levandule vypěstované na polní pokusné stanici byl výrazně odlišný. V největším množství tato silice obsahovala linalool (56,2–66,6 %) a linalyl acetát (21,5–34,8 %). Množství kafru (0,8 %) a eukalyptolu (0,6–1,3 %) významně pokleslo. Český lékopis (Český lékopis, 1997) uvádí, že průměrné množství kafru v levandulové silici by mělo být méně než 1,2 % a průměrné množství eukalyptolu by mělo být méně než 2,5 %. Rozdíly ve složení silic mohly být způsobené odlišnými podmínkami pěstování a zpracování bylin. Obsah limonenu byl u všech vzorků srovnatelný (0,3–0,8 %), stejně tak jako obsah a-terpineolu (1,7–5,9 %) a obsah borneolu (3,5–7,1 %).
Tab. 1 Relativní zastoupení jednotlivých složek levandulové silice (rel. %) ve vzorcích zakoupených v obchodní síti a vypěstovaných na polní pokusné stanici
V mátové silici byly sledovány následující obsahové látky: limonen, eukalyptol, isopulegol, menthon, menhofuran, menthol, pulegon, karvon a menthyl acetát (tab. 2). Zastoupení jednotlivých obsahových složek ve všech vzorcích mátové silice bylo srovnatelné. V největším obsahu byl zastoupen menthon (34,3–53,8 %) a menthol (26,9–42,8 %). Naopak v nejmenším obsahu byl zastoupen karvon (max. 0,07 %), isopulegol nebyl detekován v žádném z analyzovaných vzorků silice. Všechny vzorky mátové silice měly také nízký obsah pulegonu (max. 0,2 %). Obsah limonenu byl v rozmezí 0,7 % až 7,8 % a obsah menthyl-acetátu byl v rozmezí 2,4 % až 15,9 %. Obsah eukalyptolu byl v rozmezí 4,7 % až 8,3%.
Tab. 2 Relativní zastoupení jednotlivých složek levandulové silice (rel. %) ve vzorcích zakoupených v obchodní síti a vypěstovaných na polní pokusné stanic
Obsah limonenu v mátové silici by měl být v rozmezí (1,0 až 5,0 %) a eukalyptolu (3,5 až 14,0 %). V mátové silici by měl být nejvíce zastoupen menthol (30,0 až 50,0 %) a menthon (14,0 až 32,0 %). Nejméně zastoupen by měl být karvon, a to nejvýše 1 % (Český lékopis, 1997).
Variabilita v kvalitě a kvantitě jednotlivých složek silic může být způsobena některými zevními faktory. Uplatňují se například odrůda, stáří a vegetační stadium rostlin, pěstební lokalita, doba sklizně, agrotechnické podmínky při pěstování, posklizňové úpravy a skladování (Rao, 2012; Velíšek, 2002).
4 ZÁVĚR
Destilací vodní parou byly získány silice z květů levandule lékařské a listů máty peprné. Pro stanovení zastoupení obsahových látek v izolovaných silicích byla zvolena metoda plynové chromatografie kombinovaná s hmotnostním detektorem.
V levandulové silici byly sledovány tyto obsahové látky: limonen, eukalyptol, linalool, kafr, borneol, a-terpineol a linalyl acetát. Vzorky silice z levandule vypěstované na polní pokusné stanici v Žabčicích obsahovaly v největším množství linalool (56,2–66,6 %) a linalyl acetát (21,5–34,8 %). Naproti tomu vzorky silice z levandule zakoupené v obchodní síti obsahovaly v největším množství linalool (24,4–31,0 %), kafr (25,8–28,1 %), eukalyptol (20,3–22,3 %) a linalyl acetát (11,6–16,9 %). Tyto vzorky svým vysokým obsahem kafru a eukalyptolu nevyhovovaly požadavkům Českého lékopisu na obsah jednotlivých látek v levandulové silici (Český lékopis, 1997).
V mátové silici byly sledovány tyto obsahové látky: limonen, eukalyptol, isopulegol, menthon, menhofuran, mentol, pulegon, karvon a menthyl acetát. Zastoupení jednotlivých obsahových složek ve všech vzorcích mátové silice bylo srovnatelné. V největším obsahu byl zastoupen menthon (34,3–53,8 %) a menthol (26,9–42,8 %).




