Metodický list 12 - Jak může pomoci zkoušení způsobilosti mé laboratoři?

Pixabay/Michal Jarmoluk: Jak může pomoci zkoušení způsobilosti mé laboratoři?
Úvod
Zkoušení způsobilosti (PT) se užívá u kvantitativních, kvalitativních a interpretačních hodnocení, tento leták se však zaměřuje na PT pro kvantitativní zkoušky. Účast v PT je v analytických laboratořích nepostradatelnou součástí zabezpečování kvality a přináší jim mnoho užitečného. Poskytovatel PT hodnotí výkonnost účastníků pomocí předem stanovených kritérií, definovaných v návrhu programu PT.
Hodnocení výkonnosti
Většina programů PT používá některý z druhů skóre výkonnosti, jakými jsou např z-skóre a podobné (1), spolu s odpovídajícími kritérii hodnocení. Určí se vztažná hodnota X a směrodatná odchylka σp pro posuzování způsobilosti a ty se použijí pro výpočet výkonnostního skóre laboratorních výsledků x, např. z-skóre *z = (x - X) / σp*.
Pro hodnocení z-skóre se používají následující kritéria:
|z-skóre| ≤ 2,0 je považováno za uspokojivé;
2,0 < |z-skóre| < 3,0 je považováno za sporné (‚varovný signál‘);
|z-skóre| ≥ 3,0 je považováno za neuspokojivé (‚signál pro akci‘).
Toto hodnocení vychází z konceptu, že analytické výsledky s normálním rozdělením leží v rozmezí dvou směrodatných odchylek s pravděpodobností 95 %, v rozmezí tří směrodatných odchylek s pravděpodobností 99,7 %.
Poskytovatelé PT mají několik možností k určení σp jakými jsou předepsaná/dosahovaná požadovaná analytická výkonnost nebo pozorované rozdělení dat. Poskytovatelem PT použitá σp nemusí být vhodná pro všechny laboratoře. Pokud je k tomu důvod, mohou pak účastníci vypočítat svoje vlastní z-skóre za použití alternativní hodnoty σp, která je pro ně vhodnější.
Nápravná opatření
Neuspokojivá výkonnost (‚signál pro akci‘) ukazuje na možné problémy prováděných analýz. Laboratoř ji musí podrobit zkoumání (např. kontrolou možných chyb při přepisování/výpočtech, pravdivosti a preciznosti) a pokud je to třeba, musí se zaměřit na problémy prostřednictvím nápravných opatření. Účast v PT přináší laboratoři velmi omezený prospěch, jestliže odpovídajícím způsobem nereaguje na neuspokojivá skóre výkonnosti.
Hodnocení výsledků v průběhu času
Kromě vnitřního řízení kvality umožňuje pravidelná účast v PT laboratořím sledovat jejich výkonnost v průběhu času a rozpoznat trendy dříve, než se stanou problémem. Skóre výkonnosti získaná z následných cyklů PT se mohou vynášet v regulačním diagramu.
Porovnání metod
Tam, kde programy PT vyžadují, aby účastníci uváděli, jakou metodu používali, může účastník srovnat výkonnost své metody s výkonností ostatních použitých metod.
Použití údajů z PT pro odhad vychýlení (bias)
Vychýlení (bias) metody by se mělo stanovit za použití certifikovaných referenčních materiálů (CRM) nebo srovnáním s referenční metodou. Tyto metody však nemusí být dostupné pro všechny matrice, analyty a úrovně, nebo CRM nemusí plně odpovídat reálným zkušebním vzorkům. Účast v PT poskytuje možnost kontroly vychýlení s přihlédnutím k vlivům matrice a změnám koncentrace za předpokladu, že je v PT zvolen spolehlivý odhad „pravé hodnoty“. Účast v několika cyklech PT též poskytne informaci o variabilitě vychýlení, která může být použita jako příspěvek při vyhodnocení nejistoty měření laboratoře.
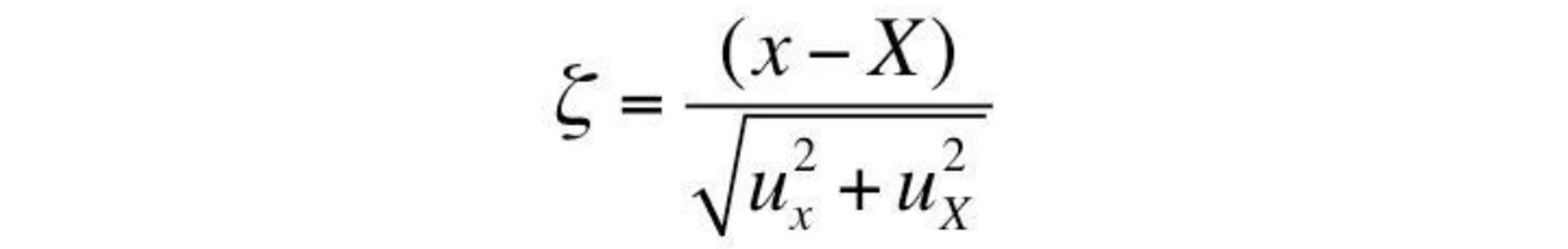
Použití PT ke kontrole nejistot měření
Skóre ζ (zeta) může napomoci při kontrole věrohodnosti odhadu nejistoty měření laboratoře. Vypočítá se následujícím způsobem, kde x je výsledek laboratoře, X vztažná hodnota a ux a uX jejich odpovídající standardní nejistoty:

Hodnotící kritéria pro uspokojivé, sporné a neuspokojivé výsledky jsou stejná jako u z-skóre. Nejistota uváděná pro výsledek měření laboratoře představuje odhad přesnosti, kterou laboratoř tvrdí, že dosahuje. Jestliže ζ (zeta) skóre jsou mimo přijatelný rozsah, ukazuje to, že laboratoř není schopna dostát svým vlastním požadavkům. Jinými slovy, nejistota měření je podhodnocena.
Navíc standardní nejistotu měření výsledku laboratoře je možno očekávat nižší, než je reprodukovatelnost zjištěná ve zkoušení způsobilosti. Pokud je nejistota měření mnohem nižší, je třeba odhad nejistoty přezkoumat.
Prokazování způsobilosti
Na úspěšnou účast v PT (|z-skóre| ≤ 2,0) nahlíží často zákazníci, akreditační a regulační orgány jako na důkaz způsobilosti. PT může rovněž působit pro laboratoř jako cenný vzdělávací prvek, například může nepřímo svědčit o úspěšném provedení školení pracovníků nebo zda je potřeba další školení.
(1) Další používaná skóre uvádí ISO 13528
EURACHEM (2011): Selection, Use and Interpretation of Proficiency Testing (PT) Schemes by Laboratories
Informace o poskytovatelích a programech PT lze získat u národního akreditačního orgánu, z webové aplikace EPTIS nebo u mezinárodních organizací jako Eurachem, Eurolab a EQALM.




