Organická analýza - Spektrální metody (Ramanova spektrometrie)

Foto: 2 Theta: Organická analýza
10 SPEKTRÁLNÍ METODY
10.4 Ramanova spektrometrie
- 10.4.1 Teoretické základy
- 10.4.2 Experimentální uspořádání
- 10.4.3 Aplikace Ramanovy spektrometrie
- 10.4.3.1 Identifikace neznámých látek
- 10.4.3.2 Identifikace polymorfů, solvátů a solí
- 10.4.3.3 Ramanovo mapování a zobrazování
- 10.4.3.4 Další příklady aplikací Ramanovy spektrometrie
Kniha obsahuje přehled metod analýzy organických látek: Analytikům prohloubí jejich znalosti používaných metod a vedoucím pracovníkům poskytne podklady pro řešení úkolů jejich laboratoře. Je určena také pro studenty a vyučující univerzit a vědecké pracovníky.
💡 Kompletní obsah naleznete v odborné publikaci Organická analýza, kterou můžete zakoupit přímo u vydavatele 2 THETA, prostřednictvím LabRulez nebo v mnoha knihkupectvích.
Teoretické základy
Ramanova spektrometrie je stejně jako infračervená spektrometrie metodou vibrační spektrometrie. Pojmenována je podle sira prof. Chandrasekhara Venkata Ramana, který jako první spolu se sirem Kariamanickam Srinivasa Krišnanem pozoroval jev neelastického rozptylu světla. Za tento objev obdržel Raman v r. 1930 Nobelovu cenu za fyziku [1]. Nezávisle na Krišnanovi a Ramanovi pozorovali tento jev dva fyzici L. I. Mandelštam a G. S. Lansberg v tehdejším SSSR [2-5].
Pokud je kvantum energie molekulou absorbováno, dochází k přechodům označeným IR. Tyto přechody jsou sledovány infračervenou (IČ) spektrometrií. Druhou možností je, že
k přechodům dochází během rozptylového efektu, který lze popsat jako absorpci fotonu a excitaci molekuly do nevlastního energetického stavu (virtuální hladiny) a bezprostřední relaxaci molekuly na nižší energetický stav spojenou s emisí fotonu rozptýleného. Celý tento děj trvá méně než 10¯¹⁵ sekundy. Pokud se molekula z excitovaného stavu vrací do stavu základního, foton, který vyzáří, má stejnou energii jako foton excitační a nenese žádnou informaci o vibračních stavech molekuly (Rayleighův rozptyl) [6-9].
V Ramanově i IČ spektrometrii záleží na rozdílu energií vibračních hladin. V IČ spektrometrii se uplatňuje foton s energií daného vibračního přechodu, zatímco v Ramanově spektrometrii se jedná o dvoufotonový proces, kde energii vibračního přechodu odpovídá rozdíl mezi energiemi fotonu „absorbovaného“ a „emitovaného“.
Módy s velikou změnou dipólového momentu, kterým v IČ spektrech odpovídají intenzivní pásy, poskytují v Ramanových spektrech obvykle málo intenzivní pásy. Naopak vibrace nepolárních funkčních skupin poskytují intenzivní pásy v Ramanových spektrech a slabé v IČ spektrech. Tyto dvě vibračně spektrální metody (IČ a Ramanova spektrometrie) se navzájem doplňují, říkáme, že jsou vzájemně komplementární.
V řadě případů není Ramanova spektrometrie používána jako samostatná metoda, ale v kombinaci s IČ spektrometrií ve střední oblasti (MIR) tak, aby bylo dosaženo kompletní spektrometrické informace o vzorku. Vhodným doplněním může být Ramanova spektrometrie pro strukturní analýzu organických molekul v kombinaci s nukleární magnetickou rezonancí (NMR), případně s hmotnostní spektrometrií.
Ramanova spektrometrie poskytuje klíčovou informaci o struktuře molekuly. Pozice a intenzity pásů ve vibračním spektru mohou být užity pro identifikaci funkčních skupin v molekule nebo pro potvrzení identity vzorku. S potřebnými znalostmi je možno identifikovat chemické sloučeniny nebo sledovat intermolekulární interakce vyhodnocováním změny pozice a intenzity Ramanových pásů. Je také možno identifikovat sloučeniny vyhledáváním v knihovnách spekter [např. 10]. V tom případě není nezbytně nutné interpretovat spektrum, ale
spíše naměřit kvalitní spektrum, které bude porovnáváno se záznamy v knihovnách spekter. Různé krystalové modifikace se obvykle projevují změnou poloh maxim pásů ve spektru nebo změnou tvaru pásů.
Experimentální uspořádání
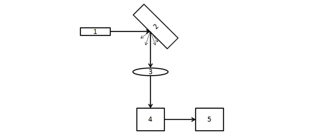
Základní uspořádání Ramanova spektrometru je znázorněno na obrázku 10.44. Excitační záření vychází ze (1) zdroje záření, postupuje na (2) vzorek. Rozptýlené fotony ze vzorku se přes (3) sběrnou optiku dostávají na (4) difrakční prvek nebo interferometr (dle druhu přístroje) a pokračují na (5) detektor.
2 Theta: Obr. Schéma uspořádání Ramanova spektrometru
Jako zdroje záření se obvykle používá laserů, které jsou schopny produkovat vysoce energetické koherentní záření [9]. Vlnová délka používaných excitačních laserů se pohybuje od IČ přes viditelnou až do UV oblasti. Směrem k nižším vlnovým délkám excitačního záření se zvyšuje intenzita Ramanova signálu, ale spolu s tím roste i riziko spojité emise vzorku – fluorescence, která může zcela znehodnotit měření překrytím Ramanova spektra.
Ramanova spektrometrie je metodou, která obvykle nevyžaduje zvláštní přípravu vzorků. Podle úhlu dopadu excitačního záření a sběru záření rozptýleného hovoříme nejčastěji o geometrii 90° nebo 180°.
Na rozdíl od IČ spektrometrie, kde je využíváno již téměř výhradně interferometrických systémů, se v Ramanově spektrometrii uplatňují systémy s disperzním prvkem (difrakční mřížkou) i s interferometrem [6]. Difrakční mřížka je obvykle destička s mnoha vrypy (hustota vrypů činí běžně řádově tisíce na jeden mm). Pro zpracování naměřených dat na spektra se u interferometrických systémů používá Fourierova transformace a takové spektrometry pak nesou označení FT.
Aplikace Ramanovy spektrometrie
- Aplikace a literatura z oblasti Raman spektrometrie v knihovně LabRulezICPMS
- Webináře z oblasti Raman spektrometrie v databázi LabRulezICPMS
IDENTIFIKACE NEZNÁMÝCH LÁTEK
V předchozích kapitolách o Ramanově spektrometrii byly nastíněny některé aplikace této techniky v laboratorní praxi. V následující kapitole budou jednotlivé aplikace přiblíženy a demonstrovány na případových studiích. Ramanova spektroskopie je metodou nedestruktivní analýzy. Její komplementarita s IČ spektrometrií a informace, které poskytuje o stavbě molekuly a krystalové struktuře, umožňují její využití při identifikaci neznámých vzorků. Každá funkční skupina vibruje určitou frekvencí. Tyto vibrace sledujeme způsobem
popsaným výše. Z polohy intenzitního maxima ve spektru můžeme usuzovat na přítomnost konkrétních funkčních skupin.
Chemickou strukturu vzorku lze tedy odvodit rozborem spektra přiřazením pásů vibracím jednotlivých funkčních skupin, což vyžaduje určité znalosti a zkušenosti ve spektroskopii a také tabulky charakteristických frekvencí vibrací funkčních skupin, anebo je možno totožnost chemické struktury potvrdit srovnáním se záznamem spektra známé látky s potvrzenou strukturou (např. NMR), standardem, vyhledáváním v knihovnách spekter atd.
IDENTIFIKACE POLYMORFŮ, SOLVÁTŮ A SOLÍ
Ramanovou spektrometrií lze rozhodnout, zda se jedná o sůl molekuly, solvát nebo kokrystal. Solvát je tvořen molekulami látky, které jsou v krystalové mřížce uspořádány spolu s molekulami rozpouštědla. Zvláštním případem solvátů jsou hydráty, kdy krystalová mřížka obsahuje také molekuly vody. Kokrystal má uspořádání mřížky takové, že jsou v ní přítomny molekuly dvou nebo více různých látek, z nichž jsou všechny za běžných podmínek v pevném stavu, přičemž jejich uspořádání v mřížce není založeno na iontovém párování, nýbrž na slabších interakcích, jako jsou vodíkové můstky, π-π.stacking nebo van der Waalsovy interakce.
2 Theta: Obr. Porovnání Ramanových spekter dvou solí (jantarát a vinan) molekuly účinné látky léčiva
RAMANOVO MAPOVÁNÍ A ZOBRAZOVÁNÍ
V kapitole 10.4.2 byla zmíněna možnost spojení Ramanova spektrometru s mikroskopem. Takového uspořádání lze využít pro analýzu vzorků s minimální velikostí přibližně jeden mikrometr, v některých speciálních případech jako je TERS, který se ale rutinně nepoužívá a nalézá uplatnění spíše v primárním výzkumu, se dostáváme až k řádu nanometrů. Pod mikroskopem můžeme identifikovat neznámé částice, vlasové nebo velmi malé nečistoty v pevných vzorcích nebo kapalinách podobně jako ve větším měřítku, jak bylo popsáno v kapitole 10.4.3.1. Zásadní význam spojení s mikroskopem má také možnost mapování. Na povrchu měřeného materiálu se nasbírají spektra v definovaných bodech s pravidelnými rozestupy. Pokud jsou měřené body v přímce, hovoříme o liniovém mapování. Tím můžeme snadno odhalit gradient koncentrace nějaké složky, např. při jejím průniku do složky jiné. Charakter liniového mapování má i hloubkové mapování, popsané v kap. 10.4.2. Pokud jsou body definované pro měření po části nebo po celém povrchu, hovoříme o mapování plošném. To má zásadní význam všude, kde je potřeba sledovat homogenitu povrchů, distribuci složek apod. Obrázek 10.50 je tvořen Ramanovou mapou řezu farmaceutickou tabletou.
DALŠÍ PŘÍKLADY APLIKACÍ RAMANOVY SPEKTROMETRIE
Vedle chemického průmyslu a výzkumu, kde z výše uvedených důvodů nachází Ramanova spektrometrie velmi široké uplatnění, existuje řada odvětví, kde hraje tato technika analýzy nezastupitelnou roli. V klinických, medicínských a biologických aplikacích je Ramanovy spektrometrie využíváno zejména pro její neinvazivnost, nedestruktivnost a rychlost měření k analýze tkání. Jsou prováděny studie ke stanovení karotenoidů jako preventivních molekul zabraňujícím radikálovým reakcím přímo přiložením pokožky k laseru spektrometru. Ramanova spektrometrie je testována na včasný záchyt melanomu pokožky analýzou pigmentových znamének, vyvíjí se metoda pro analýzu možných tělísek rakoviny prsu přímo v těle a některé analýzy tělních tekutin mají vést také ke včasnému odhalení chorob organismu. Ramanovou spektroskopií lze sledovat změny jak ve tkáních, tak v pletivech.
- [1] Sodomka L., Sodomková M., Nobelovy ceny za fyziku, Praha 1997, ISBN 80-902058-5-2
- [2] Raman C.V., A new radiation, Ind. J. Phys. 2, 1928, 387.
- [3] Landsberg G.S., Mandelstam L.I., New phenomenon in scattering of light (preliminary report), Journal of the Russian Physico-Chemical Society, Physics Section 60, 1928, 335
- [4] Landsberg G.S., Mandelstam L.I., Eine neue Erscheinung bei der Lichtzerstreuung in Krystallen, Naturwissenschaften 16, 1928, 557
- [5] Landsberg G.S, Mandelstam L.I., Uber die Lichtzerstreuung in Kristallen, Zeitschrift fur Physik 50, 1928, 769.
- [6] Ferraro J.R., Nakamoto K., Brown C.W, Introductory Raman Spectroscopy, Academic Press, London 2003, 0-12-254105-7
- [7] Long D.A., The Raman Effect, Wiley, Chichester 2002, 0-471-49028-8
- [8] Pivonka D.E., Chalmers J.M., Griffiths P.R, Applications of Vibrational Spectroscopy in Pharmaceutical Research and Development, Wiley, Chichester 2007, 978-0-470-87087-7
- [9] Atkins P., de Paula J., Fyzikální chemie, VŠCHT, Praha 2013, 978-80-7080-830-6
- [10] Socrates G., Infrared and Raman Characteristic Group Frequencies, Wiley, Chichester 2001, 0-471-85298-8
- [11] Salzer R., Siesler H.W., Infrared and Raman Spectroscopic Imaging, Wiley-VCH, Weinheim 2009, 978-3-527-31993-0

-o-Ramanove-spektroskopii-Teorie-a-pouziti_s.webp)


