Organická analýza - Techniky plynové chromatografie

Foto: 2 Theta: Organická analýza
3.4 Rychlá plynová chromatografie
3.5 Miniaturizovaná plynová chromatografie
3.6 Vícerozměrná plynová chromatografie
Kniha obsahuje přehled metod analýzy organických látek: Analytikům prohloubí jejich znalosti používaných metod a vedoucím pracovníkům poskytne podklady pro řešení úkolů jejich laboratoře. Je určena také pro studenty a vyučující univerzit a vědecké pracovníky.
💡 Kompletní obsah naleznete v odborné publikaci Organická analýza, kterou můžete zakoupit přímo u vydavatele 2 THETA, prostřednictvím LabRulez nebo v mnoha knihkupectvích.
Rychlá plynová chromatografie
Jak už tomu u nových analytických směrů bývá, terminologie není vždy plně sjednocena. Stejně tak tomu je i u rychlé plynové chromatografie. Termín „rychlá“ je používán ve dvou případech: (i) vzhledem k trvání celkové analýzy a (ii) vzhledem k vnitřnímu průměru analytických kolon. Ve srovnání s klasickou plynovou chromatografií má rychlá plynová chromatografie výrazně kratší celkovou dobu analýzy (obvykle < 20 min).
Dalším používaným termínem je velmi rychlá plynová chromatografie (doba analýzy 1-3 min), hyper-rychlá (doba analýzy < 1 min) a ultra-rychlá (doba analýzy < 1 s). Redukce celkové doby analýzy u rychlé plynové chromatografie je docíleno použitím kolon (téměř výhradně kapilárních) s menším průměrem, nízkého tlaku na výstupu, a odporového ohřevu.
Nejpoužívanějšími kolony jsou na bázi micro- nebo narrow-bore. Oblíbená microbore kolona má rozměry 10 m × 0,10 mm I. D. × 0,10 μm df, její počet teoretických pater odpovídá 100 tis., což je ekvivalent kolony o rozměrech (25 m × 0.25 mm I.D. × 0.25 mm df). Tyto kolony s ekvivalentním fázovým poměrem β umožňují plnou replikaci konvenčních metod ve značně zkráceném čase. Zmenšený vnitřní průměr navíc
vede ke zvýšení účinnosti kolon. Hlavní nevýhodou je snížená kapacita vzorku.
Nízkotlaká plynová chromatografie, také známá jako vacuum-outlet GC, je charakterizována přímým napojením krátké analytické kolony se širokým vnitřním průměrem (5-10 m délky, s vnitřním průměrem 0,32 - 0,53 mm) k hmotnostnímu spektrometru. Hodnota optimální lineární rychlosti plynu se poměrně výrazně zvyšuje se zvýšením difúzního koeficientu analytu v mobilní fázi. Zvýšená lineární rychlost také vede k užším píkům a zlepšeným hodnotám signálu vs. šumu, což vede k nižším limitům detekce. Nízkotlaká plynová chromatografie nabízí další výhodu oproti analýze s atmosférickým výstupem, a to zejména nižší eluční teploty, které umožňují eluovat tepelně nestabilní a vysokovroucí sloučeniny při poměrně nízkých teplotách.
Odporový ohřev spočívá v použití elektricky vodivého pevného materiálu používaného jako zdroj ohřevu v přímém nebo těsném kontaktu s kolonou. Takové materiály jsou ohřívány elektricky a mohou vytvářet kladné a záporné teplotní gradienty (možnost zvýšit a/nebo snížit teplotu podél kolony). Kromě toho, nepoužívání konvenčního GC termostatu značně zjednodušuje konstrukci přenosných plynových chromatografů. Je důležité zmínit, že vysokorychlostní metody plynové chromatografie, bez ohledu na použitý přístup, vyžadují v ideálním případě nejen rychlý ohřev, ale také rychlé ochlazení na počáteční podmínky.
Miniaturizovaná plynová chromatografie
Koncept miniaturizované plynové chromatografie (μGC) představili Terry, Jerman a Angell ze Stanfordské univerzity v roce 1979. Posledních více jak 40 let se výzkum soustředí na vývoj této techniky. Důvodem je především provádění rychlých měření v potřebném místě (on-site). Zatímco konvenční plynový chromatograf, výkonný a všestranný nástroj, je relativně objemný a vyžaduje vysoký příkon (typickým požadavkem na špičkový příkon je 2–3 kW), a proto je obvykle nepřenosný v terénu. Není proto divu, že tento výzkum jde ruku v ruce s vývojem přenosných nebo ručních plynových chromatografů.
Názvosloví těchto miniaturizovaných zařízení není zcela sjednocené. Například přenosný model INFICON 3000 Micro GC váží 16,5 kg, Agilent 490 Micro GC (se 4 kanály) váží 10,6 kg a Vernier Mini GC Plus (vyvinutý společností Seacoast Science, Inc.) váží 1,3 kg, což naznačuje, že použití slova „mini“ nebo „mikro“ nejsou založeny na hmotnosti. Navíc použití termínu „mikro“ také není založeno na typu použité kolony, protože miniaturní GC systémy obsahující konvenční kapilární kolony jsou někdy nazývány jako mikro GC. μGC se skládá z řady komponent, včetně zdroje nosného plynu, prekoncentrátoru-injektoru, separační kolony, detektoru, čerpadla, ventilů a softwaru pro ovládání přístroje, sběr dat a analýzu. Princip fungování μGC je podobný jako u konvenčních GC, s tím rozdílem, že různé komponenty jsou miniaturizované, aby se zvýšila přenositelnost, snížila spotřeba energie a zvýšila rychlost analýzy.
Kolony - Konvenční kapilární kolony mají kruhový průřez, zatímco kolony na bázi čipů, známé jako mikrokolony, mají typicky obdélníkový průřez. Oba typy kolon byly aplikovány v μGC. Kapilární kolony s polyimidovou stacionární fází jsou nejvíce rozšířené. Hlavní výhodou kapilárních kolon je to, že pro danou plochu průřezu poskytují vyšší rozlišení díky homogennímu potažení filmu stacionární fáze po délce kolon. Mikrokolony nabízejí řadu výhod. Malá velikost mikrokolon umožňuje vysokou rychlost a nízký výkon ohřevu, monolitická integrace kolon s dalšími komponentami potenciálně minimalizuje mrtvý objem a studená místa; a výroba pravidelně uspořádaných nosných struktur uvnitř kanálů zvyšuje separační výkon. Hlavním omezením těchto kolon je však akumulace stacionární fáze v ostrých rozích (známá jako sdružovací efekt), což má za následek nestejnoměrnou tloušťku filmu uvnitř kolony, což vede k rozšíření píků. Nicméně v případě obdélníkových kolon s vysokým poměrem stran lze účinnost zvýšit zmenšením šířky kanálu a kapacitu vzorku a průtokovou rychlost lze zvýšit zvýšením výšky. Tím může být dosaženo lepší účinnosti ve srovnání s konvenčními kapilárními kolonami.
Detektory – Celá řada detektorů byla miniaturizovaná, aby mohla být použita v μGC. Jako příklad lze uvést TCD, PID, FID, ECD a celou řadu senzorů jako senzor s povrchovou akustickou vlnou, chemirezistory, chemicky kapacitní rezistory a další. Z hmotnostních spektrometrů se používá spektrometrie diferenciální pohyblivosti (DMS), jež je na bázi iontové pohyblivostní spektrometrie. DMS obsahuje dvě paralelní rovinné elektrody oddělené úzkou mezerou, kde jsou ionty transportovány proudem plynu, a pomocí radiofrekvenčního vysokého napětí. Při nízkých napětích je mobilita iontů nezávislá na poli, zatímco mobilita se stává závislou na poli při vysokých napětích. Pole osciluje mezi nízkými a vysokými poli, což má za následek separaci iontů, které jsou shromažďovány dvojicí elektrod. Pouze ionty s určitou pohyblivostí projdou.
Vícerozměrná plynová chromatografie
Plynová chromatografie se stala běžnou technikou pro separaci těkavých a polotěkavých organických sloučenin již od svého objevu v roce 1952 Martinem a Jamesem. Od počátku ale bylo zřejmé, že separační kapacita plynové chromatografie je omezená pro velmi složité směsi, jako je například ropa a její frakce. Proto již v roce 1958, Simmons a Snyder vyvinuli první dvoudimenzionální plynovou chromatografii (v tomto případě se jednalo o tzv. heart-cutting). Za dalších 33 let (1991, představili Liu a Phillips první ortogonální (komprehensivní) dvoudimenzionální (z ang. comprehensive two-dimensional) plynovou chromatografii. Terminologie těchto dvou technik, které v průběhu let získaly mnoho zkratek (např. 2D-GC, GC-GC, GC×GC a H/C MDGC), jsou někdy v kontextu nesprávně zaměňovány. Obecně se každá metoda plynové chromatografie, která využívá více než jednu kolonu, nazývá vícerozměrná plynová chromatografie (z ang. multidimensional gas chromatography, MDGC). Jestliže jsou použity kolony dvě, pak se tato technika označuje jako dvourozměrná plynová chromatografie (z ang. two-dimensional gas chromatography, 2D-GC). V dalším textu bude 2D-GC rozdělena do dvou hlavních kategorií: (1) heart-cutting 2D-GC (GC-GC) a (2) komprehensivní 2D-GC (GC×GC). Obě techniky se vyvinuly do dvou vyspělých, poněkud odlišných forem dvoudimenzionální plynové chromatografie. Hlavním cílem těchto metod bylo a je zvýšení separační schopnosti pro složité chemické vzorky.
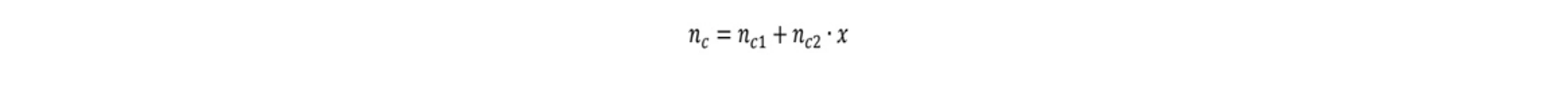
Heart-cutting dvoudimenzionální plynová chromatografie (GC-GC) se vyznačuje tím, že pouze vybrané části efluentu z první kolony jsou nadávkovány na druhou kolonu. Cílem je vylepšit separaci cílových sloučenin, které nebyly rozděleny na první koloně. Tato technika vyžaduje dva detektory a speciální zařízení mezi dvěma sériově zapojenými kolonami. Toto zařízení slouží jako přepínací mechanismus, takže efluent z primární kolony je posílán buď přímo do detektoru, nebo do druhé kolony k další separaci. Spínací mechanismy lze rozdělit na (1) mechanický ventilový spínač nebo (2) pneumatický průtokový spínač. Posledně jmenovaný je používán častěji v komerčních GC-GC systémech (např. multi-Deans switching technology od firmy Shimadzu) a to především kvůli jeho většímu maximálnímu teplotnímu limitu (jež je dán maximální teplotou kapilárních kolon, a ne tímto zařízením). Po získání retenční informace z jednorozměrného experimentu, GC-GC metoda je následně vyvinuta tak, že pouze vybrané části (neoddělený analyt z primární kolony) jsou odkloněny do druhé kolony (heart-cuts). Sekundární kolona má rozměry podobné rozměrům primární kolony, ale polarita a selektivita obou kolon jsou odlišné. Vzorkované oblasti musí mít krátké trvání (1–10 s), jinak se budou překrývat na sekundárním koloně. Celková kapacita píků (nc) se rovná součtu kapacity primární kolony (nc1) a kapacity sekundární kolony (nc2) vynásobené počtem řezů (x).
2 THETA: Vzorec
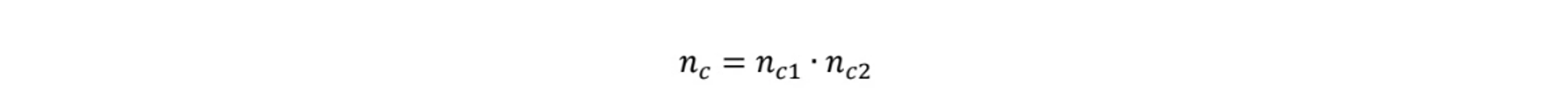
Komprehensivní dvoudimenzionální plynová chromatografie (GC×GC) se vyznačuje tím, že celý vzorek je separován jak na první, tak na druhé koloně (Obr. 3.16). Většinou je každá kolona umístěna ve své peci, kterou lze separátně ovládat. Obecně, GC×GC vyžaduje pouze jeden detektor. V některých aplikacích však může být efluent rozdělen do více než jednoho detektoru s využitím různých výhod detektorů. Kolony (s různou selektivitou) jsou obvykle spojeny do série a rozhraní mezi nimi se nazývá modulátor. Modulátor je klíčovou součástí systémů GC×GC. Jeho funkcí je zachytit, pozdržet, a uvolnit efluent z primární do sekundární kolony v rychlých, opakujících se (modulačních) periodách. Separace na sekundární koloně musí být dokončena před dalším nástřikem. Právě proto je separace na druhé koloně extrémně rychlá, typicky trvá několik sekund ve srovnání s ~45-120 minut dlouhou separací primární kolony. Sekundární kolony jsou tedy mnohem kratší než primární (např. 2 m oproti 30 m). Rychlé separace lze navíc dosáhnout použitím sekundárních kolon s menším vnitřním průměrem (např. 0,15 mm oproti 0,25 mm). Modulátory pro GC×GC se od roku 1991 neustále zdokonalují. Komerční modulátory lze na základě jejich principu rozdělit na (1) tepelné (např. Quadjet od firmy LECO Corporation) a (2) průtokové (capillary-flow technology od firmy Agilent). Stručně řečeno, tepelné modulátory (tepelné, kryogenní a jet-pulsed) využívají teplotní rozdíl k zachycení a uvolnění efluentu ve vysokofrekvenčních periodách. Naproti tomu průtokové modulátory používají vysokorychlostní ventily k řízení průtoku v oblasti mezi primární a sekundární kolonou. Celková kapacita píků (nc) se (v ideálním případě) rovná kapacitě primární kolony (nc1) vynásobené kapacitou sekundární kolony (nc2.
2 THETA: Vzorec
2 THETA: Obr. 3.17 Schéma GC×GC chromatografu
Kolony ve dvoudimenzionální plynové chromatografii bývají primárně kapilární. I ve 2D-GC hraje selektivita kapilárních kolon důležitou roli, jelikož retence sloučenin závisí na jejich interakcích se stacionární fází. Aby bylo dosaženo nejlepší možné separace, je třeba zajistit ortogonalitu výběrem kolon s různou polaritou. Vzhledem k povaze stacionárních fází je pro vytvoření ortogonálních separačních podmínek nutné použít analytické kolony, které poskytují nezávislé separační mechanismy v první a druhé dimenzi. Když jsou dvě kapilární kolony zapojeny do série tak, že první kolona je nepolární a druhá polární, označuje se tato kombinace jako normální fáze (uspořádání). Naproti tomu u kombinace první polární kolony a druhé nepolární hovoříme o tzv. reverzním uspořádání. V GC×GC mají primární kolony vyšší vliv na separaci než sekundární kolony kvůli své délce. Tudíž v normální fázi je pořadí eluce na primární koloně (osa x) řízeno body varu sloučenin (tj. lehčí sloučeniny se eluují před těmi těžšími). Sloučeniny s podobnými body varu se tak budou eluovat současně z primární kolony. Tyto sloučeniny jsou později separovány na sekundární koloně na základě jejich polarity. Pořadí eluce na sekundární koloně (osa y) se zvyšuje se zvyšující se polaritou sloučenin. V reverzní fází se retenční časy sloučenin na ose x zvyšují s jejich rostoucí polaritou. A tak méně polární sloučeniny eluují dříve než ty polárnější. Ačkoli je primární kolona polární (nebo středně polární), vliv zvyšující se teploty během běhu GC významně ovlivňuje eluci.
Detektory – Píky z GC×GC jsou velice úzké (100 - 500 ms) a tak je výběr detektoru velice důležitý. Pro správnou detekci jsou nutné detektory s nízkým vnitřním objemem, rychlým náběhem, a vysokou skenovací frekvencí (20–200 Hz). Detektory jako jsou FID, uECD, NPD, NCD, a SCD tento požadavek splňují. Hmotnostní spektrometry jsou typicky používány pro kvalitativní analýzu komplexních vzorků. TOF je nejpoužívanějším hmotnostním detektorem pro GC×GC analýzy, a to především díky jeho velmi vysoké frekvenci získávání spekter (rychlosti skenování), která může být až 500 Hz, a velkému hmotnostnímu rozlišení. Další využívanou možností je Q-TOF. I tento detektor sbírá plná spektra s dostatečnou rychlostí nezávislou na hmotnostním rozsahu. V neposlední řadě jsou to kvadrupólové analyzátory, u kterých je ale třeba vzít v potaz jeho skenovací rychlost (~50 Hz). Jelikož z GC×GC získáváme sérii po sobě jdoucích chromatogramů z druhé dimenze jež je potřeba složit do tzv. contour plotu, výběr dobrého software je velice důležitý. GC×GC software provádí primární zpracování dat, jejich vizualizaci, prohledávání, identifikaci, kvantifikaci, popř. statistickou analýzu. Jako příklad lze uvést ChromaTOF od společnosti LECO nebo GC Image od stejnojmenné společnosti.
- [1] Zoccali, M., Tranchida, P. Q., & Mondello, L. (2019). Fast gas chromatography-mass spectrometry: A review of the last decade. TrAC Trends in Analytical Chemistry, 118, 444-452.
- [2] Regmi, B. P., & Agah, M. (2018). Micro gas chromatography: an overview of critical components and their integration. Analytical chemistry, 90(22), 13133-13150.
- [3] Stas, M., Auersvald, M., & Vozka, P. (2021). Two-Dimensional Gas Chromatography Characterization of Pyrolysis Bio-oils: A Review. Energy & Fuels, 35(10), 8541-8557.




