Aplikácia moderných analytických metód pri identifikácii neznámych látok v teréne - Časť 7.

Pixabay/Miroslav Gecovic: Aplikácia moderných analytických metód pri identifikácii neznámych látok v teréne - Časť 7.
Ďalšími modernými prístrojmi pre rýchlu identifikáciu neznámych látok najmä v teréne, sú infračervené spektrometre. Pracujú na princípe, laicky povedané, merania určitého odrazeného spektra meranej vzorky na vhodnom rozhraní. Ide o tzv. ATR spektrometriu, meranie zoslabeného úplného odrazu časti infračerveného spektra meranej vzorky.
Ide o modernú techniku, vhodnú pre silne absorbujúce kvapaliny a viskózne vzorky, pasty, gély, polyméry vrstvy i práškové vzorky. Metóda ATR sa volí predovšetkým vtedy, keď sa zaujímame o povrch študovaného materiálu. Uvedená analytická metóda je veľmi vhodná na rýchlu identifikáciu neznámych chemických látok, najmä kryštalických, amorfných, pastovitých, ale aj kvapalných.
Pre krátke zopakovanie – infračervená spektroskopia patrí do skupiny nedeštruktívnych analytických metód, kedy skúmaná vzorka nie je analýzou nijako poškodená a napriek tomu poskytuje informáciu o svojom zložení. Získané hodnoty vibračných energií súvisia s pevnosťou chemických väzieb a tiež s molekulovou geometriou a hmotnosťami jadier, teda s molekulárnou štruktúrou. Tieto skutočnosti predurčujú infračervenú spektroskopiu ako vynikajúcu experimentálnu techniku, ktorá popri kvantitatívnej a kvalitatívnej analýze hrá dôležitú úlohu pri výskume chemických vlastností molekúl, molekulovej dynamiky, vplyvu prostredia na študované molekuly a v iných oblastiach.
Základná charakteristika IČ spektrometrie:
- meranie infračerveného žiarenia absorbovaného alebo odrazeného vzorkou,
- absorpcia IR žiarenia súvisí so zmenou vibračného alebo rotačného stavu molekúl,
- aplikačné možnosti – analýza plynov, kvapalín, tuhých vzoriek, identifikácia látok, kvantitatívna analýza,
- informácie zo spektra – funkčné skupiny molekúl, konštitúcia molekúl, interakcie molekúl.
Technika zoslabeného úplného odrazu (ATR – Attenuated Total Reflection) je založená na princípe jednoduchého, či viacnásobného úplného odrazu žiarenia na fázovom rozhraní meranej vzorky a meracieho kryštálu s dostatočne vysokým indexom lomu (obr. 1). Kryštál je väčšinou planárny v tvare lichobežníkového hranola, prevažne umiestnený v horizontálnom usporiadaní. Naň sa nanáša vzorka, ktorá, ak nemá vhodný jemný kryštál, sa rozomelie v achátovej miske a vhodným prítlačným mechanizmom sa ručne pritlačí ku kryštálu. Zväzok lúčov je privedený do kryštálu sústavou zrkadiel tak, aby uhol dopadu na fázové rozhranie vyhovel podmienke úplného odrazu. Meraná vzorka musí byť v dokonalom kontakte s ATR kryštálom, kvôli dostatočnému prieniku žiarenia vo forme evanescentnej vlny do vzorky.
Pre vysvetlenie, evanescentná vlna je elektromagnetická vlna vznikajúca na rozhraní dvoch prostredí, s rôznymi optickými vlastnosťami. Šíri sa pozdĺž rozhrania a kolmo na rozhraní ubúda exponenciálne. Evanescentná vlna vstupuje do vzorky (do hĺbky 1 až 4 mikrometrov) a zmenené (zoslabené) žiarenie potom vystupuje späť do IR lúča a je vedené do interferometra na spracovanie. Evanescentná vlna obsahuje informácie o absorbovanom žiarení. Ak meraná vzorka absorbuje žiarenie o určitej frekvencii, potom táto zložka bude v totálne odrazenom spektre zoslabená. Takto získané spektrum sa do značnej miery podobá spektru nameranému v transmisnom režime, teda v kyvete. Penetračná hĺbka žiarenia do povrchu vzorky je rádovo v jednotkách μm. To znamená, že charakterizujeme iba veľmi tenké povrchové vrstvy vzorky materiálu.
Vzhľadom na možnosť viacnásobného odrazu na fázovom rozhraní však získame veľmi kvalitné spektrum, ekvivalentné transmisnému spektru meranému pri hrúbke vzorky rádovo desiatok μm. Malá penetračná hĺbka je výhodou pri meraní silne absorbujúcich vodných roztokov, pretože nedochádza k deformácii tvaru pásov vody, a teda je možné ich ľahko odčítať.
Revue CO - Podstata techniky ATR – znázornený prienik evanescentnej vlny z ATR kryštálu do vzorky, penetračná hĺbka do vzorky je rádovo niekoľko mikrometrov
Revue CO: Podstata techniky ATR – znázornená opakovaná reflexia IČ žiarenia na rozhraní vzorky a ATR kryštálu 2
ATR spektrum vzorky je ovplyvnené vlnovou dĺžkou infračerveného žiarenia, pomerom indexov lomu meranej vzorky a ATR kryštálu, uhlom dopadu žiarenia na fázové rozhranie a účinnosťou kontaktu medzi meranou vzorkou a ATR kryštálom.
Na obrázkoch Podstata ATR techniky... je zobrazená podstata techniky ATR. Na prvom je znázornený prienik evanescentnej vlny z ATR kryštálu do vzorky, penetračná hĺbka do vzorky je rádovo niekoľko mikrometrov. Na druhom obrázku je znázornená opakovaná reflexia IČ žiarenia na rozhraní vzorky a ATR kryštálu.
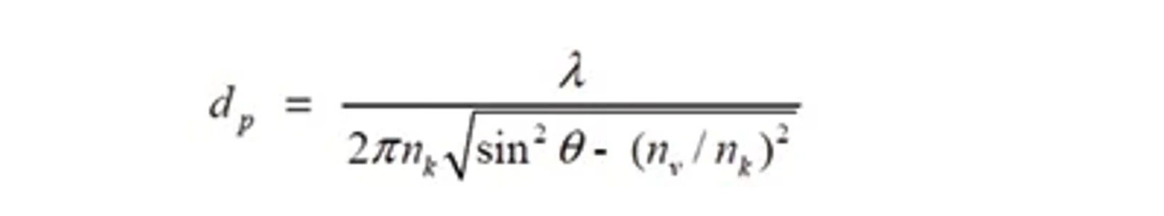
Matematicky by sa to dalo popísať takto (výsledná hĺbka penetrácie žiarenia do vzorky je definovaná vzťahom:
Revue CO: Výpočet dp hĺbka prieniku žiarenia do vzorky
kde dp je hĺbka prieniku žiarenia do vzorky, λ je vlnová dĺžka žiarenia, θ je uhol dopadu žiarenia na fázové rozhranie nv a nk sú indexy lomu vzorky a kryštálu.
Aby došlo k úplnému vnútornému odrazu, musí byť uhol dopadu väčší ako kritický uhol θc, ktorý je definovaný vzťahom:
Revue CO: Výpočet kritického uhlu
Z prvého vzťahu je teda zrejmé, že penetračná hĺbka infračerveného žiarenia do vzorky závisí od vlnovej dĺžky žiarenia. S rastúcou vlnovou dĺžkou (s klesajúcim vlnočtom) žiarenia sa zvyšuje hĺbka penetrácie. Z toho potom vyplýva, že relatívne intenzity pásov sa v spektre znižujú s rastúcimi hodnotami vlnočtov v porovnaní so spektrami v transmisnom móde. Tento jav je mnohokrát matematicky kompenzovaný pomocou ATR korekcie, ktorá býva štandardnou súčasťou softvérového vybavenia moderných FTIR spektrometrov. Čo sa týka efektívneho uhla dopadu žiarenia, ten sa pohybuje od 30 do 60 stupňov, závisí to od typu kryštálu a jeho geometrie. Pre diamantový a ZnSe (selenid zinočnatý) kryštál býva 45 stupňov.
Pre výrobu merných ATR kryštálov, ktoré majú dobré optické vlastnosti, sa najčastejšie používa ZnSe – selenid zinočnatý, Ge – germánium, alebo KRS-5 (zmes bromidu a jodidu tálneho), Si – kremík alebo diamant. ZnSe kryštál napriek svojim dobrým optickým vlastnostiam je citlivý na anorganické silné kyseliny a môže sa ľahko zničiť. V poslednej dobe sa do mobilných ATR spektrometrov používa najčastejšie diamantový kryštál, ktorý má mimoriadne mechanické, optické, ale aj chemické vlastnosti, čo sa týka jeho odolnosti. Neodporúča sa na ňom analyzovať dvojchroman draselný a kyselinu sírovú.
Dobrý kontakt práškovej vzorky s kryštálom sa zaisťuje mechanicky pomocou prítlačného systému ATR spektrometra, umiestneného v jeho hornej časti nad nerezovou platničkou, v ktorej je zabudovaný ATR kryštál (pozri obr. Dobrý kontakt...). U kvapalných látok je potrebné využiť jav, kedy je látka vylúčená vo forme tenkej vrstvy priamo na povrchu kryštálu po odparení vhodného rozpúšťadla. Táto technika je teda veľmi vhodná aj pre meranie vodných roztokov, napr. anorganických látok. Voda ako rozpúšťadlo v IČ oblasti silne absorbuje žiarenie v strednej infračervenej oblasti, preto je možné pri meraní vzoriek na FTIR vykonávať len v obmedzenom spektrálnom rozsahu a navyše pri veľmi tenkých vrstvách meranej vzorky. Tu je veľmi vhodná technika ATR disponujúca malou prienikovou hĺbkou žiarenia, teda nižšou absorpciou vzorky.
Revue CO/Agilent Technologies: Dobrý kontakt práškovej vzorky s kryštálom sa zaisťuje mechanicky pomocou prítlačného systému ATR spektrometra, umiestneného v jeho hornej časti nad nerezovou platničkou, v ktorej je zabudovaný ATR kryštál
Neriedené (čisté) kvapalné vzorky aplikované v tenkej vrstve na ATR kryštál poskytujú vysoko kvalitné spektrá. Obdobne môžeme touto technikou merať práškové vzorky, zatiaľ čo pevné vzorky (papier, fólie, gumy) bývajú pritlačované definovanou silou na ATR kryštál a možno tak získať rýchlou cestou pomerne kvalitné spektrá.
Všeobecné zásady pri meraní vzoriek v oblasti infračerveného spektra
Z teórie ATR spektrometrie vyplýva, že s väčším uhlom dopadu sa znižuje počet reflexií a tým aj intenzita pásov v spektre. Vzhľadom k tomu, že je hĺbka penetrácie žiarenia do vzorky rádovo v mikrometroch, je veľmi dôležité dodržiavať dobrý kontakt pevných vzoriek s kryštálom. Pre zaistenie reprodukovateľnosti merania je nutné pokryť celú plochu kryštálu vzorkou. Častou chybou pri málo starostlivej práci je nedostatočné očistenie ATR kryštálu. Výsledkom je potom spektrum zmesí, ktoré budete ťažko interpretovať. Všímajte si preto, či sa vám silné absorpčné pásy v spektre predchádzajúcej vzorky neobjavujú znova ako slabšie pásy v spektrách následne meraných látok. V tomto prípade je jediným možným riešením zopakovať príslušné merania.
Pre ilustráciu ako postupovať pri identifikácii neznámych látok som zhotovil nasledujúcu tabuľku:
1. Charakteristika neznámej skupiny látok: Analýzy ovzdušia
Doporučené použitie mobilnej analytickej metódy: FTIR – Gasmet, mobilné GC- ECD, GC-MS, detektory ovzdušia na meranie obsahu O2, CO, CO2 chlóru, amoniaku, benzénu, prípadne iných toxických plynov (Dräger, RAE ap.), detekčné trubičky s pumpou, pre meranie prachových častíc a aerosolov použiť zachytávanie na vhodných filtroch – následne použiť XFR spektrometriu, prípadne rádiometriu na podozrenie na prítomnosť rádionuklidov
Možné riziká: Nadýchanie sa toxických pár – použiť minimálne ochranu dýchacích ciest! Pri veľmi toxických látkach ochrana celého tela, v uzavretých priestoroch použiť dýchací prístroj
Poznámka: Doporučuje sa odobratie plynnej vzorky do vzorkovacích vakov, absopčného roztoku, na adsopčnú trubičku SPE, alebo na kremenné vlákno pre SPME
2. Charakteristika neznámej skupiny látok: Pre práškovité, pastovité respektíve kvapalné látky uložené voľne alebo v semitransparentných obaloch a ak nemôžeme manipulovať so vzorkou (nemôžeme vzorkovať)
Doporučené použitie mobilnej analytickej metódy: Ramanova spektrometeria, XFR, spektrometria, IR spektroemtria – Gasmet ak analyzujeme výpary nad meranou vzorkou
Možné riziká: Pri riziku inicializácie látky laserom zvoliť diaľkové ovládanie a najnižšiu energiu laseru
Poznámka: Nevzorkujeme, urobíme potrebnú fotodokumentáciu, kde sme vykonali merania
3. Charakteristika neznámej skupiny látok: Pre pevné skupenstvo, práškovité, pastovité respektíve kvapalné látky uložené voľne alebo v obaloch a ak môžeme manipulovať so vzorkou
Doporučené použitie mobilnej analytickej metódy: ATR spektrometria, Ramanová spektrometria, XFR spektrometria, IČ spektrometria, GCMS analýza, GC FTIR analýzy, respektíve ďalšie analýzy (meranie pH, ap.)
Možné riziká: Pre odber vzoriek toxických látok používame ochranu dýchacích ciest a vhodné ochranné odevy napr. Tychem a samozrejme ochranné rukavice
Poznámka: Vzorkujeme podľa zásad vzorkovania určitého druhu skupenstva pre toxické látky, dbáme na potrebné označenie vzoriek, doporučuje sa aj fotodokumentácia alebo nákres miesta odkiaľ boli vzorky odobraté
Metóda ATR je účinnou a rýchlou technikou merania infračervených spektier, ktorá si oproti transmisnému meraniu v kyvete vyžaduje minimálnu prípravu vzorky na analýzu. Navyše väčšina mobilných spektrometrov ATR umožňuje priamo vykonávať analýzy v ohrozenom, alebo kontaminovanom pásme v ochrannom odeve. Samotnú analýzu je možné u vysokorizikových látok (výbušniny alebo nestabilné látky) robiť aj cez diaľkové ovládanie, samozrejme samotná vzorka sa musí naniesť na kryštál ručne. Nahraté spektrá je potom možné si previesť do mobilného PC na podrobné vyhodnotenie nameraného spektra.
Podľa mojich doterajších skúseností, metódy ATR a Ramanovej spektrometrie môžeme uplatňovať hlavne v teréne, kde potrebujeme rýchlu analýzu a tam je aj predpoklad, že budeme analyzovať určité skupiny chemických látok, napríklad drogy a ich prekurzory, výbušniny a ich prekurzory, priemyselné toxické látky ap. Typové spektrá týchto látok sú nahraté v zakúpenom softvéri a každoročne sa výrobcom bezplatne rozširujú. Je možné vytvoriť si aj vlastnú knižnicu, kde si svoje spektrá ukladáme pre neskoršie využitie, napr. pri analýze neznámych bielych práškov podozrivých na Antrax, ako je múka, cukor, škrob, krieda ap.
Samozrejme, analýza neznámej látky sa robí až vtedy, keď oficiálne prejde testom v hygienickom laboratóriu ÚVZ a predtým, pri podozrení, testom na nebezpečnú citlivú nestabilnú výbušninu. Toto všetko zabezpečujú zložky IZS. Pri použití týchto metód je dobre vedieť, aké typy chemických látok a aké súvislosti môžeme očakávať. Preto je nevyhnutné, aby tieto analýzy vykonával odborník s patričným chemickým vzdelaním, inak môžeme získať pochybné výsledky. Prístroj skoro vždy ukáže nejaký výsledok, ale iba odborník môže posúdiť, či je správny. To je v analytickej chémii veľmi dôležité. Preto je tu potrebné chápať určité chemicko-fyzikálne súvislosti chemických látok, ktoré je možné získať iba štúdiom a následnou praxou.
Revue CO: Použitie ATR spektrometra Agilent Carry 4500 v laboratóriu KCHL CO v Jasove
V prípadoch, kedy identifikujeme neznámu látku v zmesi s inými látkami, alebo chceme identifikovať zložité chemické látky, môžeme rýchle metódy Ramanovej a ATR spektrometrie chápať ako doplnkové. Dôležitá je koncentrácia skúmanej látky. Ak je nízka, musí sa vykonať vhodná extrakcia alebo jej zakoncentrovanie fyzikálnymi metódami. V analytickej chémii platí zásada, že látku musíme dokázať aspoň dvoma nezávislými metódami, takto sme sa to učili v škole. Preto je vhodné urobiť pri analýze neznámych organických látok analýzy na GCMS (plynovom chromatografe s hmotnostným detektorom) alebo iným detektorom napríklad FTIR alebo ECD. Závisí to od toho, ktoré látky chceme identifikovať.
Najprv je potrebné zistiť, či ide o anorganickú alebo organickú látku. Urobíme testy na horenie, farbu plameňa, bod topenia, bod rozkladu, skúšky na rozpustnosť, použijeme napr. XFR analýzu na prítomnosť prvkov, CHN analýzu, TOC analýzu, prípadne ďalšie analýzy. Vykonáme pre potvrdenie tzv. selektívne analýzy na určité zastúpenie prvkov alebo organických skupín a orientujeme sa už z predbežne vykonaných analýz z Ramanovej a ATR spektrometrie.




