Analýza fentanylu a jeho derivátů plynovou chromatografií s hmotnostní detekcí

Pixabay/Michal Renčo: Analýza fentanylu a jeho derivátů plynovou chromatografií s hmotnostní detekcí
V příspěvku jsou předloženy výsledky měření vzorků opioidového analgetika fentanylu a jeho 4 derivátů, carfentanilu, lofentanilu, ocfentanilu hydrochloridu a thiofentanylu hydrochloridu s použitím plynového chromatografu Agilent Intuvo 9000 ve spojení s hmotnostním detektorem Agilent 5977B. Byly vytvořeny kalibrační křivky v rozsahu daném ředěním standardních látek a spektrum těchto pěti vzorků.
Úvod
Významnou pozici mezi novými psychoaktivními látkami (NPS) zaujímá skupina vysoce účinných syntetických opioidů. Mezi představitele NPS patří už od druhé poloviny minulého století anestetikum fentanyl a jeho analoga. Tyto látky byly původně syntetizovány pracovníky laboratoří firmy Janssen při hledání anestetika s jednodušší molekulou oproti morfinu, přičemž výchozí látkou byl pethidin. Od 80. let však podle průběžných sdělení monitorovacích center výrazně přibylo množství fentanylových derivátů vyrobených v ilegálních laboratořích na celém světě. (1)
Rychlé šíření zástupců NPS v rámci nelegálního trhu s drogami představuje značné riziko pro veřejné zdraví, neboť v mnoha jsou následky zneužívání fatální. Fentanyl působí jako ultrapotentní agonista μ–receptorů na centrální nervovou soustavu a nebezpečí jeho neodborného užívání spočívá především v jeho vysoké účinnosti; vykazuje cca 80x vyšší účinek v porovnání s morfinem. Podobně jako u dalších opiátů lze předpokládat závažné nežádoucí účinky na organismus uživatele, a to miózu, obstipaci, nauzeu, ztrátu vědomí a především rigiditu hrudního svalstva. Vzhledem ke kratšímu poločasu rozpadu v organismu může vést dlouhodobější užívání k vytvoření závislosti. (2,3)
Struktura fentanylu
Molekula fentanylu je tvořena piperidinovým kruhem s terciárním atomem dusíku, propionovou a fenethylovou částí a anilinovým kruhem. Je známo, že fentanylový skelet lze snadno obměnit množstvím dalších substituentů (obr. 1), a to na čtyřech částech struktury. V propionylové části je možná přítomnost jak lineárních, tak rozvětvených alkylových řetězců, cykloalkanů, heteroatomů, aromatických nebo heterocyklických kruhů. Na piperidinovém kruhu mohou být vázány různé substituenty na uhlících 2, 3 nebo 4. Anilinový kruh může obsahovat ortho, meta a para substituenty nebo např. heterocyklický kruh. V místě N- lkylového řetězce lze provést substituci α nebo β uhlíků, případně prodloužit spojovací řetězec.
UO/HZS: Obr. 1 Základní struktura fentanylu
Fentanyl ve zdravotnictví a veterinární péči
V současné době existuje poměrně široká škála fentanylových přípravků, které jsou distribuovány v různých aplikačních formách. K tlumení silné a dlouhodobě trvající bolesti jsou lékaři předepisovány náplasti s postupně se uvolňující účinnou látkou, pod obchodním názvem Durogesic (v zahraničí Duragesic). V pooperační analgezii mohou být využívány nosní spreje (PecFent, Instanyl, Lazanda), pro dětské pacienty jsou vyráběna lízátka Actiq. Tablety Abstral a Sublimaze jsou určeny k sublinquální aplikaci, přípravek Effentora při léčbě akutních atak k bukální aplikaci. (4)
Syntézu základní molekuly, fentanylu, následovaly syntézy dalších derivátů, s úspěchem uplatňovaných ve zdravotnictví; např. alfentanil, remifentanil, sufentanil. (5,6) Jak ukazuje tabulka 1, morfin je v léčbě úspěšně nahrazován fentanylem v mnoha zemích.
UO/HZS: Tab. 1 Spotřeba silných opioidů (7)
Vybrané deriváty fentanylu
Z derivátů, nalezených při policejních záchytech, případně při nálezech záchrannými složkami (HZS) a pracovníky Celní správy lze jmenovat např.: acetylfentanyl, acrylfentanyl, cyklopropylfentanyl, mefentanyl, thiofentanyl, ocfentanyl, carfentanil, lofentanil, α- ethylfentanyl, brifentanil, mirfentanil, p-fluorofentanyl, p-fluoroacetylfentanyl, butyrfentanyl, ohmefentanyl, remifentanil, tetrahydrofuranfentanyl (THF-F), methoxyacetylfentanyl a další. (8,9)
Pro analýzu GC/MS byly vybrány následující deriváty:
Carfentanil - superpotentní opiát, s asi 10 000x silnějšími účinky oproti fentanylu, používaný pouze ve veterinární praxi k imobilizaci velkých zvířat jako slonů, nosorožců, ledních medvědů apod., s obvyklým dávkováním max. 2 mg/t. Na zvířatech byly testovány intramuskulární způsoby podání, v klinické pilotní studii byly na dobrovolnících zkoušeny kromě intramuskulárního i nazální způsoby podání. (10) Tato látka se sumárním vzorcem C₂₄H₃₀N₂O₃ byla syntetizována v r. 1974 týmem chemiků firmy Jannsen Pharmaceutica, stejně jako základní látka fentanyl. Pod obchodním názvem Wildnil byl carfentanil poprvé využit k trankvilizačním účelům roku 1986. V roce 2002 sehrál roli ve směsi s remifentanilem při osvobozování rukojmích v moskevském divadle Dubrovka. O několik let později byly zveřejněny výsledky analýzy J. Richese a kolektivu, kteří zkoumali oděvy tehdejších účastníků akce a prokázali přítomnost těchto dvou analog. (11,12)
Lofentanil, látka sumárního vzorce C₂₅H₃₂N₂O₃ byla syntetizována v r. 1960. Podle odborných zdrojů má o něco vyšší účinnost než carfentanil. Nevýhodou pro praktické využití ve zdravotnictví je jeho delší doba působení, proto je v současnosti lofentanil využíván spíše k výzkumu opioidních receptorů. (13,14)
Ocfentanil, sloučeninu se sumárním vzorcem C₂₂H₂₇FN₂O₂ a její syntézu poprvé popisuje patent z roku 1986, kdy bylo snahou získat opioid s optimálním terapeutickým indexem ke zlepšení kardiovaskulárních účinků a respiračních depresí v porovnání s fentanylem. Molekula ocfentanilu je dvojí modifikací fentanylu: propionamidová skupina byla nahrazena methoxyacetamidem a na N-fenylový kruh byl do pozice ortho adován fluor. Nízké dávky (do 5 μg/kg) byly testovány intravenózně jako doplněk k anestezii isofluranem. Klinické studie analgetické aktivity potvrdily asi 2,5x vyšší potenci vůči fentanylu. (15,16)
V Číně je tato droga legislativně sledována od r. 2015, ve Spojených Státech je zařazena do seznamu kontrolovaných látek I od roku 2018. (17)
Thiofentanyl, C₂₀H₂₆N₂OS, je derivát fentanylu využívaný především ve veterinární praxi. V humánní medicíně není dosud akceptován. Je selektivním agonistou μ-opioidních receptorů se sníženou účinností ve srovnání s morfinem a zařazen mezi látky kontrolované v seznamu I (DEA, Drug Enforcement Administration). V jeho syntéze se uplatňuje kondenzace arylaminoskupiny N-fenyl-1-(2-(2-thienyl)ethyl)piperidin-4-aminu s kyselinou propanovou, ve své molekule tedy obsahuje kromě typického piperidinového kruhu a anilidové skupiny i thiofenovou část. (18,19)
UO/HZS: Obr. 2 Struktury derivátů fentanylu (zleva carfentanil, lofentanil, ocfentanil a thiofentanil)
Kazuistika fentanylu a jeho derivátů
Od roku 2012 celosvětově významně vzrostl podíl ilegální výroby nových psychoaktivních látek (NPS), které dosud nejsou zařazeny do seznamů kontrolovaných látek a které mají mezi drogově závislými jedinci souvislost s nárůstem smrtelných následků. Distribuci a prodej zajišťují organizované skupiny na celém světě. Smutné prvenství v užívání těchto farmak drží Spojené státy americké, kde již v 70. letech 20. století docházelo ke zneužívání fentanylu zdravotnickým personálem. Na území USA jsou řešeny desítky tisíc případů zneužití a následných úmrtí. V Evropě se podle zpráv EMCDDA objevují tyto drogy především v Estonsku, v menší míře pak ve Velké Británii a záchyty jsou hlášeny např. ze Španělska, Belgie a dalších zemí. Opioidy jsou zachytávány ve formě prášku, tablet i ve spreji. Přestože legislativní úpravy jednotlivých států reagují na současnou situaci s nadměrným zneužíváním fentanylových opioidů, stále je dostupnost drog, především díky dodavatelům prekurzorů těchto látek z Číny i internetovému obchodu, vysoká. (20)
Za rok 2019 bylo hlášeno téměř 13 000 záchytů dalších opioidů (1,7 tuny, převážně tablet). Bylo zachyceno celkem 15 kg derivátů fentanylu, tedy více než dvojnásobné množství než v r. 2018 (6 kg). Nizozemí hlásilo v r. 2020 zachycení 1 kg fentanylu. (21)
UO/HZS: Tab 2 Nárůst počtu syntetických opioidů při záchytech (22)
Během covidové pandemie byly prováděny průzkumy, sledující spotřebu léků, a byl zaznamenán nárůst užívání nepředepsaného fentanylu téměř o 40 %. Z informací monitorovacích center v předchozích letech vyplývá, že spotřeba syntetických opioidů má stále rostoucí tendenci: od 2015 za pouhé 4 roky vzrostla spotřeba těchto látek asi o 30 tisíc případů a nepředpokládá se výrazná pozitivní změna. Vzhledem ke kratšímu poločasu rozpadu látky v porovnání s ostatními drogami vyžaduje častější aplikaci, což zvyšuje riziko závislosti. (23, 24) Odhady organizace CDC vykazují pro rok 2020 v USA cca 70 tisíc smrtelných předávkování. (25)
Zneužití „fentalogs“ drogově závislými jedinci mívá v mnoha případech fatální následky. V posledních letech bylo např. v USA identifikováno několik případů úmrtí v důsledku předávkování těmito látkami získanými extrakcí z transdermálních náplastí. (26) K těmto případům došlo i v České republice; poprvé v roce 2013, podruhé o rok později. Intoxikace byla hlášena v plzeňském a bruntálském kraji. (27,28)
UO/HZS: Obr. 3 Nárůst smrtelných případů v důsledku předávkování fentanylem u mladistvých v Novém Mexiku (29)
Federální úřad CDC (Centers for Disease Control and Prevention) zveřejnil statistická data, podle nichž přibližně dvě procenta všech úmrtí na předávkování drogami se v posledních pěti letech vyskytují u lidí mladších 18 let a celkový počet úmrtí zaviněných předávkováním drogami v době pandemie vzrostl až o 54 procent, oproti roku 2019 se počte obětí zvýšil o 147, na počet 721. (30) Americké protidrogové agentury uvádějí, že kilogram carfentanilu má na trhu hodnotu cca 2 750 dolarů, zatímco kilogram heroinu více než 11 000 dolarů. Kanadská agentura pro pohraniční služby informovala o zadržení zásilky fentanylu s čínským nápisem, obsahující téměř 50 milionů smrtelných dávek, ukrytých uvnitř modrých kazet označených jako inkoust pro tiskárny HP LaserJet. (31)
V nedávné době přidala Čína přes 100 syntetických drog na svůj seznam kontrolovaných látek, což ovlivnilo globální dodavatelské řetězce narkotik tak, že během 6 měsíců došlo např. ke snížení záchytu acetylfentanylu o 60 %. (32,33)
V roce 2015 bylo podle projektu WEDINOS zachyceno šest vzorků s ocfentanilem. Byly identifikovány tři kombinace, a to ocfentanil, paracetamol a kofein, ocfentanil, paracetamol, kofein a mannitol a ocfentanil, paracetamol, kofein a metamfetamin. V Belgii a Švýcarsku byla v minulých letech hlášena nejméně 3 úmrtí související s ocfentanilem, který je často prodáván jako heroin. Ve zprávě z roku 2020 uvádí nejčastější způsoby podání drog, graf na obrázku č. 4. (34,35) V případě úmrtí mladistvého muže, drogově závislého, potvrdila forenzní analýza ocfentanilu i stopy dalších návykových látek. Opioidy se v roce 2019 podílely na 49 860 úmrtích z předávkování (70,6 % všech úmrtí na předávkování drogami) (36,37).
UO/HZS: Obr. 4 Ocfentanil na nelegálním trhu
Experimentální část
Analýza jednotlivých fentanylů (fentanyl, thiofentanyl hydrochlorid, ocfentanil hydrochlorid, carfentanil a lofentanil dodaných firmou Labicom Olomouc v krystalické formě) byla prováděna na plynovém chromatografu Agilent Intuvo 9000 ve spojení s hmotnostním detektorem Agilent 5977B. Cílem experimentu bylo vytvoření kalibračních křivek jednotlivých derivátů a ověření možnosti identifikace několika vzorků současně ve směsi. Rozpouštědlem byl methanol v čistotě pro GC/MS.
UO/HZS: Obr. 5 GC-MS, pracoviště laboratoř Tišnov
Parametry měření
Měření na systému GC/MS bylo provedeno při následujících parametrech: kolona HP-5MS (délka 30 m, Ø 0,25 mm, fáze 0,25 μm), nosný plyn He 1,2 ml.min-1, nástřik 1 μl, teplota Inlet 290 °C, mód Splitless, Splitless Purge Flow to Split Vent 100 ml.min-1 at 1 min, Liner Agilent 5181-3316, ID 4 mm bez vaty, Guard Chip G4587-60665 MMI Guard Chip při teplotě 290 °C, teplota rozhraní GC/MSD 300 °C. Solvent Delay Time: 9 min, Teplota zdroje 130 °C, teplota analyzátoru 150 °C. GC program:
- 150 °C – 1 min,
- od 150 °C do 300 °C, ramp 20 °C/min,
- 300 °C – 3 min.
Parametry MS detektoru: v SIM modu byly skenovány hmoty uvedené v tabulce 3:
UO/HZS: Tab. 3 Skeny hmot v SIM módu při nástřiku 1 μl
Na základě popsané metody lze fentalogs kvalitativně analyzovat současně, viz obrázek č. 6:
UO/HZS: Obr. 6 Nástřik 1 μl roztoku obsahující 1 mg.l-1 fentanylu, 0,2 mg.l-1 thiofentanylu, 0,5 mg.l-1 ocfentanilu, 0,5 mg.l-1 carfentanilu a 0,2 mg.l-1 lofentanilu v methanolu
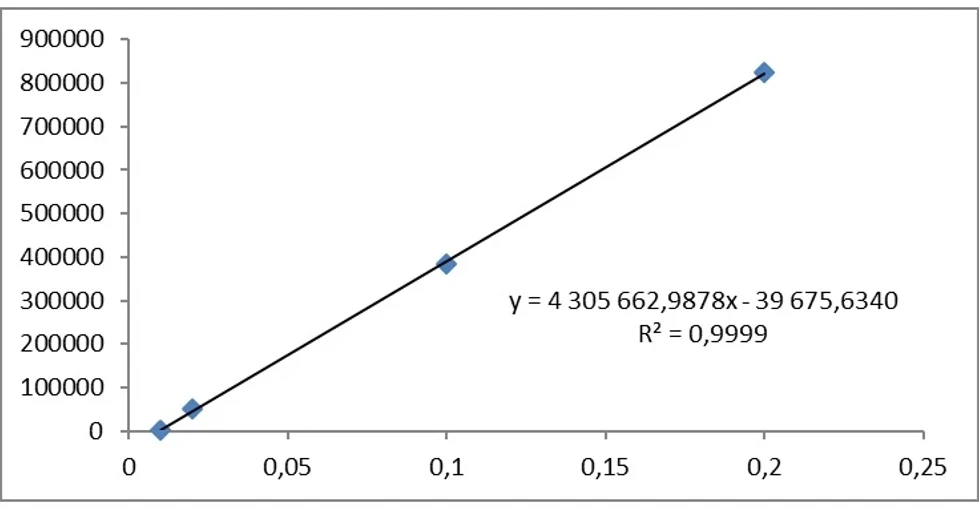
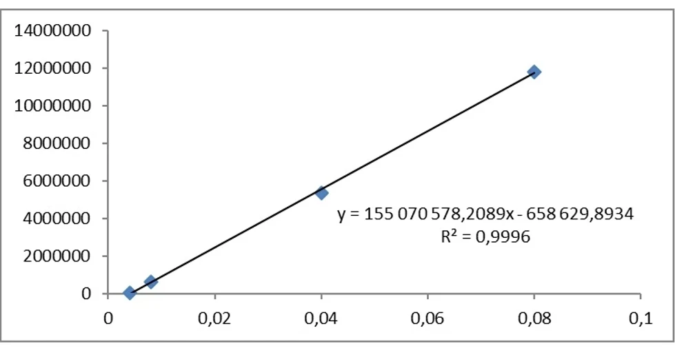
V závislosti na ředění standardních látek byly měřením vzorků získány kalibrační křivky v rozsahu 20–400 μg.l⁻¹ pro fentanyl, v rozsahu 10–200 μg.l⁻¹ pro carfentanil, v rozsahu 4–80 μg.l⁻¹ pro lofentanil, v rozsahu 10–200 μg.l⁻¹ pro ocfentanil a v rozsahu 4–80 μg.l⁻¹ pro thiofentanil.
UO/HZS: Obr. 7 Kalibrační křivka fentanylu
UO/HZS: Obr. 8 Kalibrační křivka carfentanilu
UO/HZS: Obr. 9 Kalibrační křivka lofentanilu
UO/HZS: Obr. 10 Kalibrační křivka ocfentanilu hydrochoridu
UO/HZS: Obr. 11 Kalibrační křivka thiofentanylu hydrochloridu
Diskuse
Zvolená metoda analýzy fentanylu a jeho derivátů spočívá v provedení jednoho střiku (jedné dávky) léčiva na skleněnou podložku, ze které byl proveden methanolový stěr dle interní metodiky pracoviště Laboratoř Tišnov. Provedený stěr byl následně vložen do vialky o objemu 40 ml, přidáno cca 20 ml rozpouštědla (methanol čistoty pro GC/MS analýzu), která byla dále vložena do ultrazvukové čističky, kde byl stěr 30 min sonifikován při laboratorní teplotě. Výsledný extrakt byl přefiltrován přes teflonový stříkačkový filtr o průměru 25 mm a velikosti pórů 0,2 mm a zakoncentrován pomocí pre-koncentrátoru Mini Dry Bath při teplotě 50°C po dobu 10 min a průtoku dusíku 200 ml/min. Výsledný prekoncentrát o objemu 1 ml byl převeden do vialky ND9 a analyzován výše uvedenou metodou.
Metodika byla ověřena na reálném vzorku, kterým bylo léčivo PecFent od společnosti Archimedes Development Ltd. obsahující sprej, v jehož jedné dávce je obsaženo 100 mg účinné látky fentanylu.
Závěr
V České republice je fentanyl a některé z jeho četných derivátů jako opioidní látky s vysokou účinností uvedeny v příloze 1 seznamu omamných a psychotropních látek dle zák. č. 167/1998 Sb. o návykových látkách. Z důvodu masivního zneužívání stojí v popředí pozornosti mnoha odborných skupin celého světa, ať už v oblasti preventivních či forenzních analýz, a vzrůstá potřeba vytváření a uplatňování sofistikovaných instrumentálních metod v praxi. Možnosti obměn základní struktury fentanylu, a tím vysoký počet existujících derivátů je výzvou pro pracovníky laboratoří záchranných složek, Celní správy i chemiky AČR.




