Detekcia toxických plynov v teréne pomocou detekčných trubičiek - Časť 2

Pixabay/Don Homacho: Detekcia toxických plynov v teréne pomocou detekčných trubičiek - Časť 2
Z posledných skúseností z cvičení s ozbrojenými zložkami a s príslušníkmi NAKA, protidrogovej jednotky vo Výcvikovom a testovacom centre radiačnej chemickej a biologickej ochrany (VTC RCHBO) Zemianske Kostoľany, z cvičení OPCW v Kontrolnom chemickom laboratóriu civilnej ochrany v Slovenskej Ľupči a ostrých zásahov v rámci integrovaného záchranného systému, kde sme vykonávali detekciu bojových otravných látok, alebo detekciu toxických chemických látok priamo v kontaminovanom teréne, sme často využívali na detekciu týchto látok detekčné trubičky.
V súčasnosti je väčšina prieskumných jednotiek na bojové otravné látky (BOL) v teréne vybavená modernejšou detekčnou technikou, napríklad malými mobilnými IMS detektormi, ktoré pracujú na princípe rôznej mobility iónov vo viacnásobnom elektrickom poli. V rámci kontrolných chemických laboratórií civilnej ochrany (KCHL CO) má prístroj založený na tomto princípe iba KCHL CO v Nitre. Bežne sú prístrojom pracujúcim na tomto princípe, označovanom ako ICAM (výrobca Smith detection) alebo RAID-M (výrobca Bruker Daltonics), vybavené vojenské chemické prieskumné jednotky. Cena takýchto IMS detektorov na BOL sa pohybuje na úrovni 10 tisíc eur a viac.
Do skupiny tejto modernej, ale oveľa drahšej mobilnej detekčnej techniky, používanej priamo na detekciu toxických látok v teréne, patrí aj infračervená spektrometria. V súčasnosti sa cena takýchto prístrojov označených názvom Gasmet, ktoré pracujú so širokým rozsahom detekcie toxických látok na báze analýzy nameraného infračerveného spektra a s rozsiahlou databázou infračervených spektier chemických látok uložených v knižnici softvéru, pohybuje na úrovni 90 000 eur. Takýmito mobilnými infračervenými spektrometrami sú vybavené KCHL CO v Jasove a Nitre. V cene je zahrnutý aj externý, veľmi precízny kalibrátor organických látok s bodom varu do 180 °C, ktorých infračervené spektrá po splynení vzorky presnej koncentrácie v kvapalnej fáze v uvedenom kalibrátore, ktorý je napojený cez vyhrievanú flexibilnú hadicu priamo na Gasmet, je možné si uložiť do databázy knižnice softvéru a týmto si ju rozšíriť o ďalšie spektrá. Naše posledné praktické skúsenosti s detekciou ostrých BOL priamo v teréne týmto prístrojom, získané vo výcvikovom stredisku Ozbrojených síl Slovenskej republiky v Zemianskych Kostoľanoch v minulom roku pri spoločnom výcviku jednotiek protidrogovej jednotky NAKA a KCHL CO, potvrdili kvalitu tohto prístroja. Pri tomto cvičení v teréne prístroj okamžite indikoval pre nás analytikov charakteristický pík sarinu, s ktorým sa cvičilo.
Do tejto skupiny patria aj mobilné prístroje, ktoré pracujú priamo na báze hmotnostnej detekcie, označované ako MS/MS detektory. Tie pracujú na princípe hmotnostnej detekcie s iónovou pascou, alebo v spojení s plynovou chromatografiou, označované ako GCMS, kde sa používa bežne klasický kvadrupolový hmotnostný detektor, alebo pomerne rozmerovo väčší, ale oveľa citlivejší detektor označovaný ako Time of Flight. Táto analytická metóda sa označuje ako GC MS TOF. Cena najlacnejších spomínaných hmotnostných detektorov sa pohybuje na úrovni 70 tisíc eur. V prípade zložitejších typov, používaných na analýzu najmä rôznych chemických zmesí toxických látok, to môže byť aj 200 tisíc eur a viac. Podrobnejšie sa môžeme uvedenými metódami zaoberať v budúcich číslach revue Civilná ochrana, ak bude o to záujem.
Revue civilnej ochrany: Využitie el. pumpy CHP-71 na presávanie sorpčnej trubičky s Ténaxom a Detekčné trubičky na Yperit HD
Teraz by som sa opäť chcel vrátiť k detekcii toxických látok pomocou detekčných trubičiek. Tá má nesporné výhody, hlavne v nízkej obstarávacej cene a v použití tejto metódy priamo v teréne s rýchlym vyhodnotením podľa farebného testu aj za nepriaznivých poveternostných podmienok, najmä za veľmi nízkych teplôt (s použitím ohrevných teliesok trubičiek pri aplikácii s CHP-71 alebo CHP-5), kde moderné detekčné systémy napájané na batérie pri nízkych teplotách poväčšine kolabujú (osobná skúsenosť). Ich výhodou je tiež možnosť rýchleho opakovania analýzy v kontaminovanom pásme s použitím aj iných trubičiek (vylučovací test). Pomerne ľahká manipulácia je s touto technikou v ochrannom protichemickom odeve. Výhodou je aj rýchla dekontaminácia pumpy a trubičky po detekcii v dekontaminačnom roztoku (u BOL je to klasický roztok chlórnanu vápenatého, alebo iného dekontaminačného roztoku). Nevýhodou tejto metódy je obmedzená životnosť detekčných trubičiek, nutnosť zabezpečenia ich širokého sortimentu, možné rušenie detekcie aj inými látkami podobného charakteru, vyššia pracnosť pri použití manuálnej pumpy a v mnohých prípadoch aj nižšia citlivosť detekcie. Čo sa týka cenových relácií týchto systémov, napríklad set trubičiek na BOL, balených po 10 kusov, s použitím ručnej pumpičky sa pohybuje na úrovni od 200 eur. Závisí to od rozsahu typov detekčných trubičiek, ale hlavne od výrobcu. S použitím elektrickej pumpy to môže byť cena od 900 eur.
V poslednom mojom príspevku v revue Civilná ochrana som popisoval detaily detekčnej trubičky na BOL typu P44/2, ktorú je možné použiť na detekciu látok typu G (sarin, soman, tabun), GD a VX v spojení s elektromechanickou pumpou CHP-71 (chemický preukazník), alebo novším typom CHP-5, vyvinutom v Českej republike. Tento druh detekčnej trubičky sa vyznačuje hlavne viacročnou životnosťou, lepšie odoláva rušivým vplyvom a nevyžaduje vykonanie slepého testu porovnávacej trubičky. Navyše, vďaka enzýmu imobilizovaného na nosiči, dovoľuje aj detekciu BOL vo vode (špeciálny postup).
Technické dáta trubičky
PT44/2 je obojstranne zatavená sklenená trubička o rozmeroch 100x5 mm, obsahujúca dve indikačno-referenčné vrstvy a dve ampulky s činidlom. V hornej časti je označená tromi červenými pásikmi. Takto je označený aj papierový zásobník pre 10 ks, na ktorom je vyznačený farebný porovnávací etalón pre orientačné stanovenie otravnej látky. Indikačná vrstva trubičky obsahuje bielu granulovanú celulózu s imobilizovanou acetylcholinesterázou. Porovnávacia vrstva obsahuje žlté drvené sklo impregnované substrátom acetylcholinu a chromogénnym činidlom (Ellmanove činidlo). Obidve malé ampulky vo vnútri trubičky sú naplnené tlmivým roztokom s pH8. Podľa priloženého predpisu je nutné pri detekcii ovzdušia presať cez trubičku 1 liter vzduchu, pri použití manuálnej pumpy je to 10 zdvihov. Presávanie sa uskutočňuje v smere šípky označenej na trubičke, alebo od farebných pásikov označených na trubičke, kde sa manuálna pumpička pripevní na spodnú časť trubičky, ktorá je najďalej od pásikov (porovnávacia časť). Biochemická reakcia je založená na inhibícii acetylcholinesterázy, ktorá katalyzuje hydrolýzu acetylcholinu. Zafarbenie pri indikácii BOL je prechod z bielej farby na žltú.
Revue civilnej ochrany: Set obsahujúci pumpičku a absorbčnú nádobu s trubičkami od firmy AUER v KCHL CO; Prípravok na otvorenie trubičiek
a prepichnutie ampuliek v trubičke z príslušenstva CHP-71; Ručná pumpička na presávanie trubičiek so zdvihovým objemom 100 ml od rakúskej firmy AUER v KCHL CO, má na rukoväti otvor pre otváranie trubičiek
Postup pre použitie trubičky
Po otvorení trubičky z obidvoch strán, najlepšie pomocou prípravku (súčasť príslušenstva CHP-71), ktorý obsahuje aj tzv. tŕne na prepichnutie ampuliek v trubičke (pozri obrázok), sa rozbije horná ampulka (indikačná časť) a jej obsah sa utrasie na celulózu. Potom sa uskutoční presávanie predpísaného objemu vzduchu a počká sa predpísaný čas na reakciu. Následne sa rozbije druhá (spodná) ampulka a jej obsah sa utrasie cez drvené sklo až na celulózu. Vyhodnotí sa zmena sfarbenia vrstvy. Pokiaľ v stanovenom čase dôjde k žltému zafarbeniu, ovzdušie neobsahuje otravnú látku, v opačnom prípade zostáva vrstva bez zmeny, prípadne dochádza k žltému sfarbeniu až po dlhšej dobe. Citlivosť trubičky znižujú vysoké koncentrácie oxidačných, redukčných, kyslých alebo zásaditých pár v ovzduší.
Podrobný popis aj pre ostatné typy trubičiek nájdete na webovej stránke.
Trubička využívajúca aminoperoxidovú reakciu
Hoci požiadavky na citlivosť detekcie BOL sú náročné, ukázalo sa, že v niektorých prípadoch (napríklad pri rozlíšení látok typu G a V) môžu byť veľmi užitočné i klasické aminoperoxidové trubičky. Boli objavené už počas druhej svetovej vojny v Nemecku pri výskume novodobých chemických zbraní. Princípom je reakcia BOL látok typu G s peroxidom vodíka, za vzniku peroxykyselín, ktoré oxidujú redoxné indikátory na zodpovedajúce farebné produkty. Na výrobe tejto trubičky boli v súčasnosti nahradené pôvodné toxické a karcinogénne činidlá na báze benzidínu, ako bol o-tolidin a o-dianisidin, za relatívne neškodný N,N,N’,N’-tetramethylbenzidín.
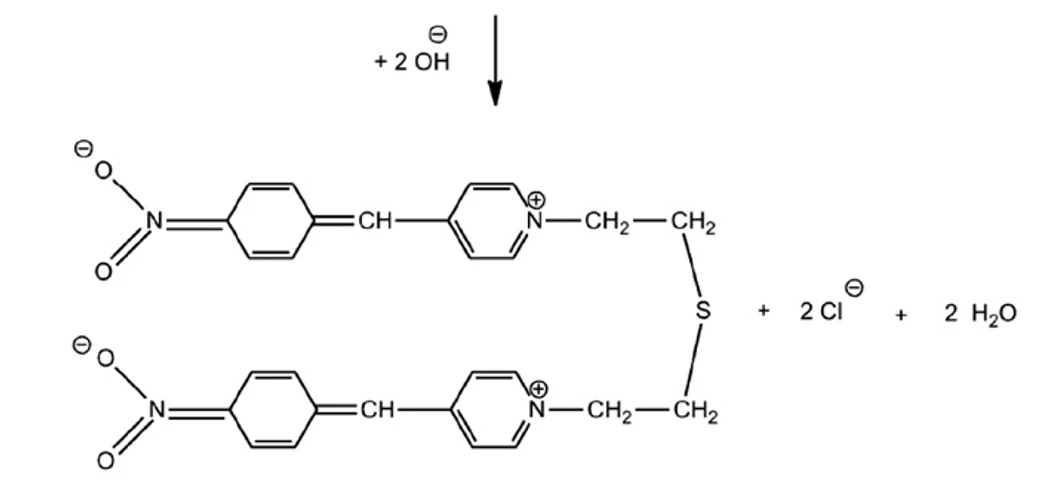
Revue civilnej ochrany: Schéma popisu reakcie yperitu s 4 (4´-nitrobenzyl) pyridínom
Zo všetkých pľuzgierotvorných látok je najväčšia pozornosť venovaná sírnemu yperitu bis (2-chlorethyl) sulfidu. Hoci u nás a vo svete bol objavený rad analytických metód, jednoduchá a spoľahlivá detekcia sírneho yperitu nie je taká samozrejmosť. Napríklad už spomínaná firma Dräger stále vyrába trubičku na báze tradičnej metódy detekcie, podľa Obermillerovej-Schrötera, s AuCl₃ na nosiči a s roztokom chloramínu v ampulke.
Pre citlivý selektívny dôkaz pár yperitu bola v minulosti vyvinutá trubička, ktorá obsahovala silikagél, impregnovaný HgCl₂ alebo HgBr2 a 4,4’- bis(diethylamino) benzofenónom. Mechanizmus reakcie nie je doposiaľ podľa dostupnej literatúry ešte dostatočne celkom objasnený. Staršia vojenská odborná literatúra uvádza vznik červenohnedého ternárneho komplexu, v ktorom je atóm síry yperitu viazaný na ortutnatú soľ a skupina CO má iba prehlbovať farebný odtieň.
Revue civilnej ochrany: Kufrík s rôznymi detekčnými trubičkami pripravený na výjazd
Z hľadiska hygieny a ekológie výroby, používanie a likvidácia trubičiek je v indikačnej náplni trubičky trochu problematická pre prítomnosť silno zapáchajúceho rozpúšťadla 2-methylbutan-2-olu, stabilizačných prísad hexametyl-fosfor-triamidu a fenolu, ale najmä pre vysoký obsah ortuti. Preto bol výskum zameraný na ich náhradu netoxickými, alebo menej toxickými komponentmi. V priebehu výskumných prác sa ukázalo, že podstatou reakcie asi nie je tvorba komplexu s ťažkým kovom, pretože po nahradení chloridu alebo bromidu ortutnatého v receptúre s chloristanom horečnatým je indikačný efekt zachovaný. Reakcia sírneho yperitu s Mg(ClO₄)₂ a 4,4’-bis(dietylamino) benzofenónom, navyše v prostredí etanolu, je približne rovnako citlivá, poskytuje jasne červené zafarbenie a oproti pôvodnému variantu s ortutnatou soľou je odolná aj proti pôsobeniu H₂S, AsH₃, PH₃, NOx, dymov chloridov kovov a slnečného svetla.
V nasledujúcich častiach príspevkov sa budeme zaoberať ďalšími druhmi detekčných trubičiek.




